电脑桌面
添加小米粒文库到电脑桌面
安装后可以在桌面快捷访问

(新课标)高三数学下学期第六次月考 理VIP免费

(新课标)高三数学下学期第六次月考 理_第1页
1/6
(新课标)高三数学下学期第六次月考 理_第2页
2/6
(新课标)高三数学下学期第六次月考 理_第3页
3/6
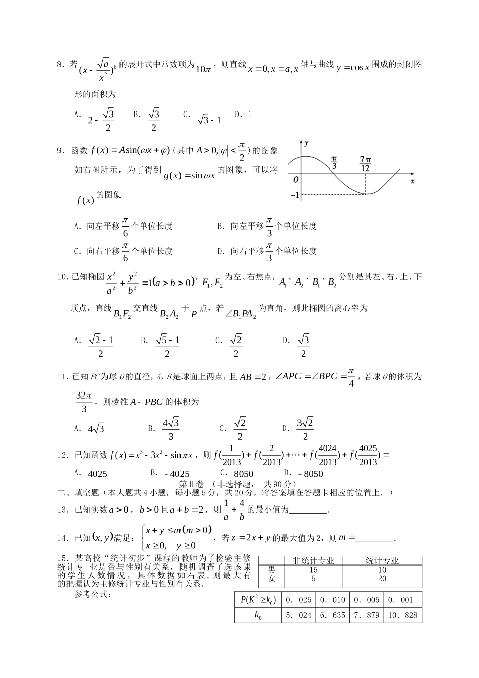
数学(理)验收试题(6)【新课标】考试说明:本试卷分第I卷(选择题)和第II卷(非选择题)两部分,满分150分,考试时间120分钟.(1)答题前,考生先将自己的姓名、准考证号码填写清楚;(2)选择题必须使用2B铅笔填涂,非选择题必须使用0.5毫米黑色字迹的签字笔书写,字体工整,字迹清楚;(3)请按照题号顺序在各题目的答题区域内作答,超出答题区域书写的答案无效,在草稿纸、试题卷上答题无效;(4)保持卡面清洁,不得折叠、不要弄破、弄皱,不准使用涂改液、刮纸刀.第I卷(选择题,共60分)一、选择题(本大题共12小题,每小题5分,共60分,在每小题给出的四个选项中,只有一项是符合题目要求的.)1.已知全集{1,3,5,7,9,11}U,{3,5,9}M,{7,9}N,则集合{1,11}A.MNB.MNC.()UCMND.()UCMN2.设a,bR,i是虚数单位,则“复数zabi为纯虚数”是“0ab”的A.充分不必要条件B.必要不充分条件C.充要条件D.既不充分也不必要条件3.一个棱锥的三视图如右图所示,则这个棱锥的体积为A.12B.36C.16D.484.已知双曲线12222byax的左、右焦点分别为21,FF,左、右顶点将线段21FF三等分,则该双曲线的渐近线方程为A.xy22B.xy2C.xy22D.xy5.如右图,若输入n的值为4,则输出m的值为A.3B.31C.2D.216.函数52lnxxxf的零点个数为A.0B.1C.2D.37.在直角梯形ABCD中,已知BC∥AD,AB⊥AD,AB=4,BC=2,AD=4,若P为CD的中点,则PA·PB的值为A.-5B.-4C.4D.5是否开始输入nmmm11i

1、当您付费下载文档后,您只拥有了使用权限,并不意味着购买了版权,文档只能用于自身使用,不得用于其他商业用途(如 [转卖]进行直接盈利或[编辑后售卖]进行间接盈利)。
2、本站所有内容均由合作方或网友上传,本站不对文档的完整性、权威性及其观点立场正确性做任何保证或承诺!文档内容仅供研究参考,付费前请自行鉴别。
3、如文档内容存在违规,或者侵犯商业秘密、侵犯著作权等,请点击“违规举报”。

碎片内容

(新课标)高三数学下学期第六次月考 理

文章天下+ 关注
实名认证
内容提供者

各种文档应有尽有

确认删除?
微信客服
  • 扫码咨询
会员Q群
  • 会员专属群点击这里加入QQ群