电脑桌面
添加小米粒文库到电脑桌面
安装后可以在桌面快捷访问

三角函数计算题型归类VIP免费

三角函数计算题型归类_第1页
1/7
三角函数计算题型归类_第2页
2/7
三角函数计算题型归类_第3页
3/7
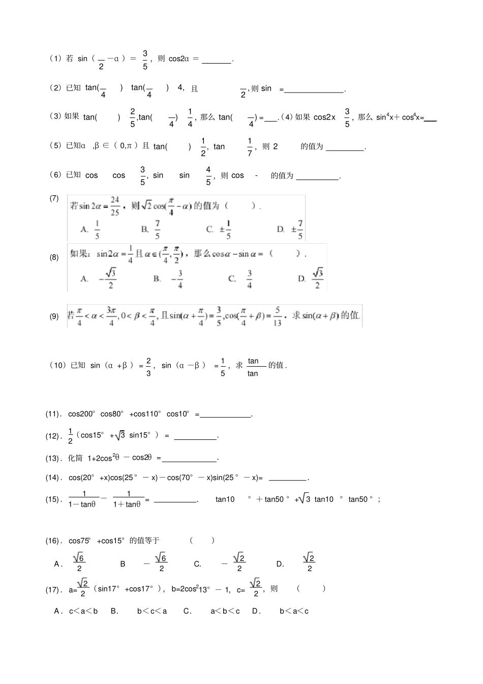
三角函数计算题型归类1、运用诱导公式化简与求值:要求:掌握2k,,,,2,2等诱导公式.记忆口诀:奇变偶不变,符号看象限.例1.(1)求值:cos600o;(2)化简:cos2(4-α)+cos2(4+α)练1(1)若cos(π+α)=12,32<α<2π,则sin(2π-α)等于.(2)若(cos)cos3fxx,那么(sin30)f的值为.(3)sin(176π)的值为.(4)2、运用同角关系化简与求值:要求:掌握同角二式(22sincos1,sintancos),并能灵活运用.方法:平方法、切弦互化.例2(1)化简sin1sintantansincosxxxxxx;(2)已知sinx+cosx=15,且0

1、当您付费下载文档后,您只拥有了使用权限,并不意味着购买了版权,文档只能用于自身使用,不得用于其他商业用途(如 [转卖]进行直接盈利或[编辑后售卖]进行间接盈利)。
2、本站所有内容均由合作方或网友上传,本站不对文档的完整性、权威性及其观点立场正确性做任何保证或承诺!文档内容仅供研究参考,付费前请自行鉴别。
3、如文档内容存在违规,或者侵犯商业秘密、侵犯著作权等,请点击“违规举报”。

碎片内容

三角函数计算题型归类

爱的疯狂+ 关注
实名认证
内容提供者

该用户很懒,什么也没介绍

确认删除?
微信客服
  • 扫码咨询
会员Q群
  • 会员专属群点击这里加入QQ群