电脑桌面
添加小米粒文库到电脑桌面
安装后可以在桌面快捷访问

化工原理辅导1VIP免费

化工原理辅导1_第1页
1/18
化工原理辅导1_第2页
2/18
化工原理辅导1_第3页
3/18
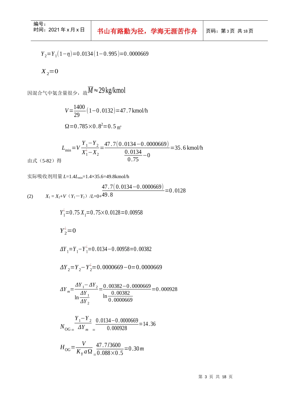
第1页共18页编号:时间:2021年x月x日书山有路勤为径,学海无涯苦作舟页码:第1页共18页1、某转子流量计出厂时用在常压下用20℃的空气进行标定,其刻度范围为10—50m3/h。试计算用该流量计测定50℃空气的流量,其体积流量范围为多少?2、一敞口水槽向表压为49.1kPa高位密闭容器送水,泵吸入管及排除管均为φ81×3mm,管路总长(包括所有局部阻力的当量长从度)为85m,流体在管内流动的摩擦系数为.0.02,容器液面高出水槽液面20m.水的密度为1000kg/m3.已泵的特性方程为H=50-5.56×10-3qv2,(H单位为m,qv单位为m3/h).求;1.泵的流量及有效功率;2.若此系统输送的是密度为1500kg/m3某种液体,泵的流量及有效功率又为若干?3、用离心泵将贮槽中的液体输送到敞口高位槽,两槽液面保持恒定,高差12m,管路内径为38mm,管路总长为50m(包括管件、阀门、弯头等局部阻力的当量长度)。管路上安装一孔板流量计,孔板的孔径为20mm,流量系数CO为为0.63,U型管压差计读数为R为540mm,指示液为汞(密度取13600kg/m3).操作条件下液体密度1260kg/m3。黏度为1×10-3Pa.s。求;单位质量流体经泵获得的能量(kJ/kg)。摩擦系数可按下式计算:湍流λ=0.3164Re0.25,层流时λ=64Re4、用离心泵将输水,泵的特性曲线方程为H=30−0.01qv2(式中H的单位为m,qv的单位为m3h,下同),输水管路特性曲线方程为He=10+0.05qv2水的密度取1000kg/m3.求:(1)管路中流体流量及泵的有效功率;(12分)(2)若需要流量为16m3h,应采取什么措施?采取措施后,两条特性曲线方程有什么变化(定量表示)?5、用离心泵向设备送水。已知泵特性方程为H=40−0.01Q2,管路特性方程为He=25+0.03Q2,两式中Q的单位均为m3/h,H的单位为m。试求:(1)泵的输送量;(2)若有两台相同的泵串联操作,则泵的输送量为多少?若并联操作,输送量又为多少?4、某生产过程每年须生产滤液3800m3,年工作时间5000h,采用间歇式过滤机,在恒压下每一操作周期为2.5h,其中过滤时间为1.5h,将悬浮液在同样操作条件下测得过滤常数为K=4×10-6m2/s;qe=2.5×10-2m3/m2。滤饼不洗涤,试求:(1)所需过滤面积,(2)今有过滤面积8m2的过滤机,需要几台?5、BMS50/810-25型板框压滤机,滤框尺寸为810×810×25mm,共36个框,现用来恒压过滤某悬浮液。操作条件下的过滤常数为K=2.72×10-5m2/s;qe=3.45×10-3m3/m2。每滤出1m3滤液的同时,生成0.148m3的滤渣。求滤框充满滤渣所需时间。若洗涤时间为过滤时间的2倍,辅助时间15min,其生产能力为多少?2-3、采用过滤面积为0.2m2的过滤机,对某悬浮液进行过滤常数的测定。操作压强差为0.15MPa,温度为20℃,过滤进行到5分钟时,共得滤液0.034m3;进行到10分钟时,共得滤液0.050m3。试估算(1)过滤常数K和qe;(2)按这种操作条件,过滤进行到1小时时的滤液总量。7、生产中要求在过滤时间20min内处理完4m3例2-3中料浆,操作条件同例2-3,已知每m3滤液可形成第2页共18页第1页共18页编号:时间:2021年x月x日书山有路勤为径,学海无涯苦作舟页码:第2页共18页0.0342m3滤饼。现使用的一台板框压滤机,滤框尺寸为450×450×25mm,滤布同例2-3,试求:(1)完成操作所需滤框数;(2)若洗涤时压强差与过滤时相同,滤液性质与水相近,洗涤水量为滤液体积的1/6时的洗涤时间(s);(3)若每次辅助时间为15min,该压滤机生产能力(m3滤液/h)。8、拟在9.81×103Pa的恒定压强差下过滤某悬浮液。已知该悬浮液由直径为0.1mm的球形颗粒状物质悬浮于水中组成,过滤时形成不可压缩滤饼,其空隙率为60%,水的粘度为1.0×10-3Pa·s,过滤介质阻力可以忽略,若每获得1m3滤液所形成的滤饼体积为0.333m3。试求:1)每平方米过滤面积上获得1.5m3滤液所需的过滤时间;2)若将此过滤时间(或过滤面积、压差)延长一倍,可再得滤液多少?9、在一单壳程双管程列管式换热器中,用130C的饱和水蒸汽将36000kg/h的乙醇水溶液从25C加热到80C。列管换热器由90根φ25×2.5mm,长3m的钢管管束组成。乙醇水溶液走管程,饱和水蒸汽走壳程。已知钢的导热系数为45W/m·K,乙醇水溶液在定性温度下的密度为880kg/m3,粘度为1.2×10...

1、当您付费下载文档后,您只拥有了使用权限,并不意味着购买了版权,文档只能用于自身使用,不得用于其他商业用途(如 [转卖]进行直接盈利或[编辑后售卖]进行间接盈利)。
2、本站所有内容均由合作方或网友上传,本站不对文档的完整性、权威性及其观点立场正确性做任何保证或承诺!文档内容仅供研究参考,付费前请自行鉴别。
3、如文档内容存在违规,或者侵犯商业秘密、侵犯著作权等,请点击“违规举报”。

碎片内容

化工原理辅导1

精品中小学资料+ 关注
实名认证
内容提供者

精品文档

确认删除?
VIP
微信客服
  • 扫码咨询
会员Q群
  • 会员专属群点击这里加入QQ群
客服邮箱
回到顶部