电脑桌面
添加小米粒文库到电脑桌面
安装后可以在桌面快捷访问

大学高数公式大全VIP免费

大学高数公式大全_第1页
1/10
大学高数公式大全_第2页
2/10
大学高数公式大全_第3页
3/10
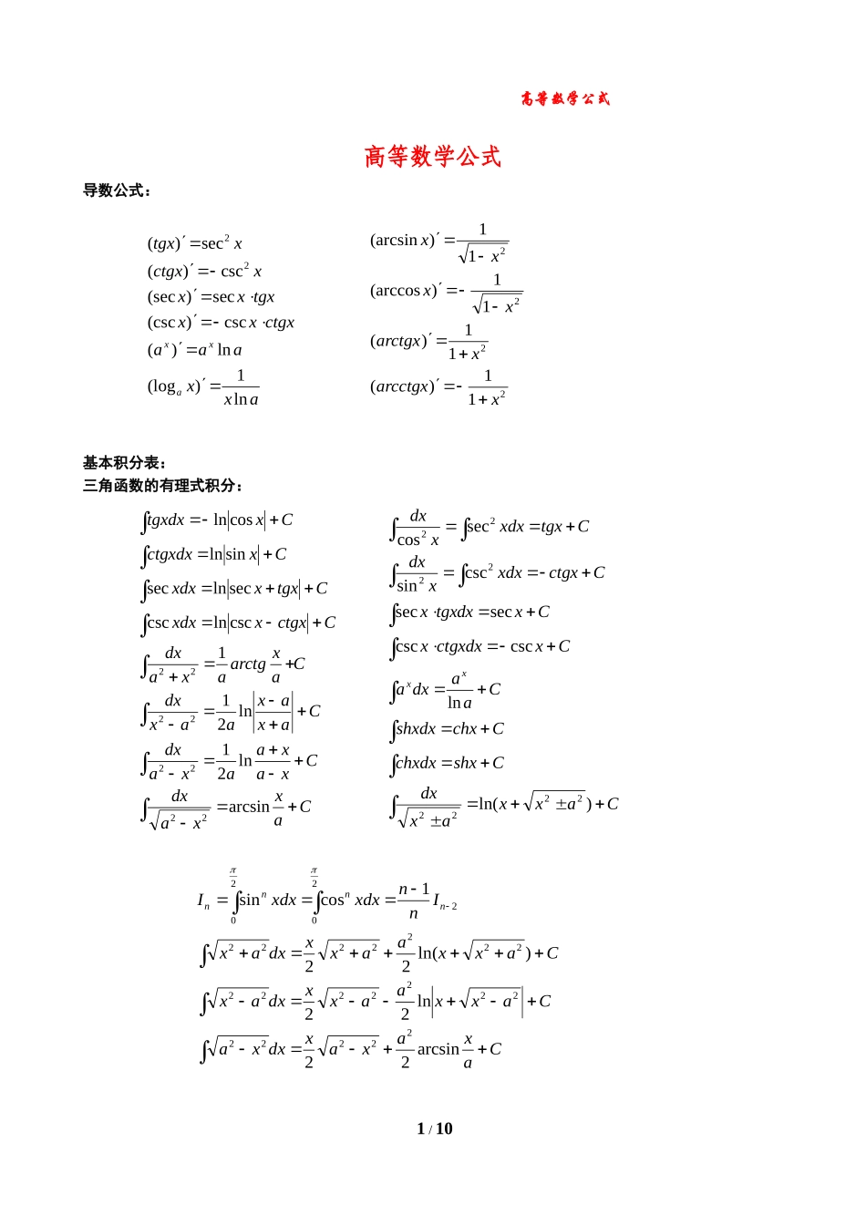
高等数学公式高等数学公式导数公式:基本积分表:三角函数的有理式积分:1/10axxaaactgxxxtgxxxxctgxxtgxaxxln1)(logln)(csc)(cscsec)(seccsc)(sec)(22222211)(11)(11)(arccos11)(arcsinxarcctgxxarctgxxxxxCaxxaxdxCshxchxdxCchxshxdxCaadxaCxctgxdxxCxdxtgxxCctgxxdxxdxCtgxxdxxdxxx)ln(lncsccscsecseccscsinseccos22222222CaxxadxCxaxaaxadxCaxaxaaxdxCaxarctgaxadxCctgxxxdxCtgxxxdxCxctgxdxCxtgxdxarcsinln21ln211csclncscseclnsecsinlncosln22222222CaxaxaxdxxaCaxxaaxxdxaxCaxxaaxxdxaxInnxdxxdxInnnnarcsin22ln22)ln(221cossin222222222222222222222020高等数学公式一些初等函数:两个重要极限:三角函数公式:·诱导公式:函数角Asincostgctg-α-sinαcosα-tgα-ctgα90°-αcosαsinαctgαtgα90°+αcosα-sinα-ctgα-tgα180°-αsinα-cosα-tgα-ctgα180°+α-sinα-cosαtgαctgα270°-α-cosα-sinαctgαtgα270°+α-cosαsinα-ctgα-tgα360°-α-sinαcosα-tgα-ctgα360°+αsinαcosαtgαctgα·和差角公式:·和差化积公式:2/102sin2sin2coscos2cos2cos2coscos2sin2cos2sinsin2cos2sin2sinsinctgctgctgctgctgtgtgtgtgtg1)(1)(sinsincoscos)cos(sincoscossin)sin(xxarthxxxarchxxxarshxeeeechxshxthxeechxeeshxxxxxxxxx11ln21)1ln(1ln(:2:2:22)双曲正切双曲余弦双曲正弦...590457182818284.2)11(lim1sinlim0exxxxxx高等数学公式·倍角公式:·半角公式:·正弦定理:·余弦定理:·反三角函数性质:高阶导数公式——莱布尼兹(Leibniz)公式:中值定理与导数应用:曲率:定积分的近似计算:3/1023333133cos3cos43cossin4sin33sintgtgtgtg222222122212sincossin211cos22coscossin22sintgtgtgctgctgctg高等数学公式定积分应用相关公式:空间解析几何和向量代数:多元函数微分法及应用4/10高等数学公式微分法在几何上的应用:方向导数与梯度:多元函数的极值及其求法:5/10高等数学公式重积分及其应用:柱面坐标和球面坐标:曲线积分:6/10高等数学公式曲面积分:高斯公式:斯托克斯公式——曲线积分与曲面积分的关系:常数项级数:7/10高等数学公式级数审敛法:绝对收敛与条件收敛:幂级数:函数展开成幂级数:8/10高等数学公式一些函数展开成幂级数:欧拉公式:三角级数:傅立叶级数:周期为的周期函数的傅立叶级数:微分方程的相关概念:一阶线性微分方程:9/10高等数学公式全微分方程:二阶微分方程:二阶常系数齐次线性微分方程及其解法:(*)式的通解两个不相等实根两个相等实根一对共轭复根0二阶常系数非齐次线性微分方程10/10

1、当您付费下载文档后,您只拥有了使用权限,并不意味着购买了版权,文档只能用于自身使用,不得用于其他商业用途(如 [转卖]进行直接盈利或[编辑后售卖]进行间接盈利)。
2、本站所有内容均由合作方或网友上传,本站不对文档的完整性、权威性及其观点立场正确性做任何保证或承诺!文档内容仅供研究参考,付费前请自行鉴别。
3、如文档内容存在违规,或者侵犯商业秘密、侵犯著作权等,请点击“违规举报”。

碎片内容

大学高数公式大全

确认删除?
VIP
微信客服
  • 扫码咨询
会员Q群
  • 会员专属群点击这里加入QQ群
客服邮箱
回到顶部