电脑桌面
添加小米粒文库到电脑桌面
安装后可以在桌面快捷访问

高三数学:三角函数练习题--两角和与差的正弦、余弦、正切人教版VIP免费

高三数学:三角函数练习题--两角和与差的正弦、余弦、正切人教版_第1页
1/3
高三数学:三角函数练习题--两角和与差的正弦、余弦、正切人教版_第2页
2/3
高三数学:三角函数练习题--两角和与差的正弦、余弦、正切人教版_第3页
3/3
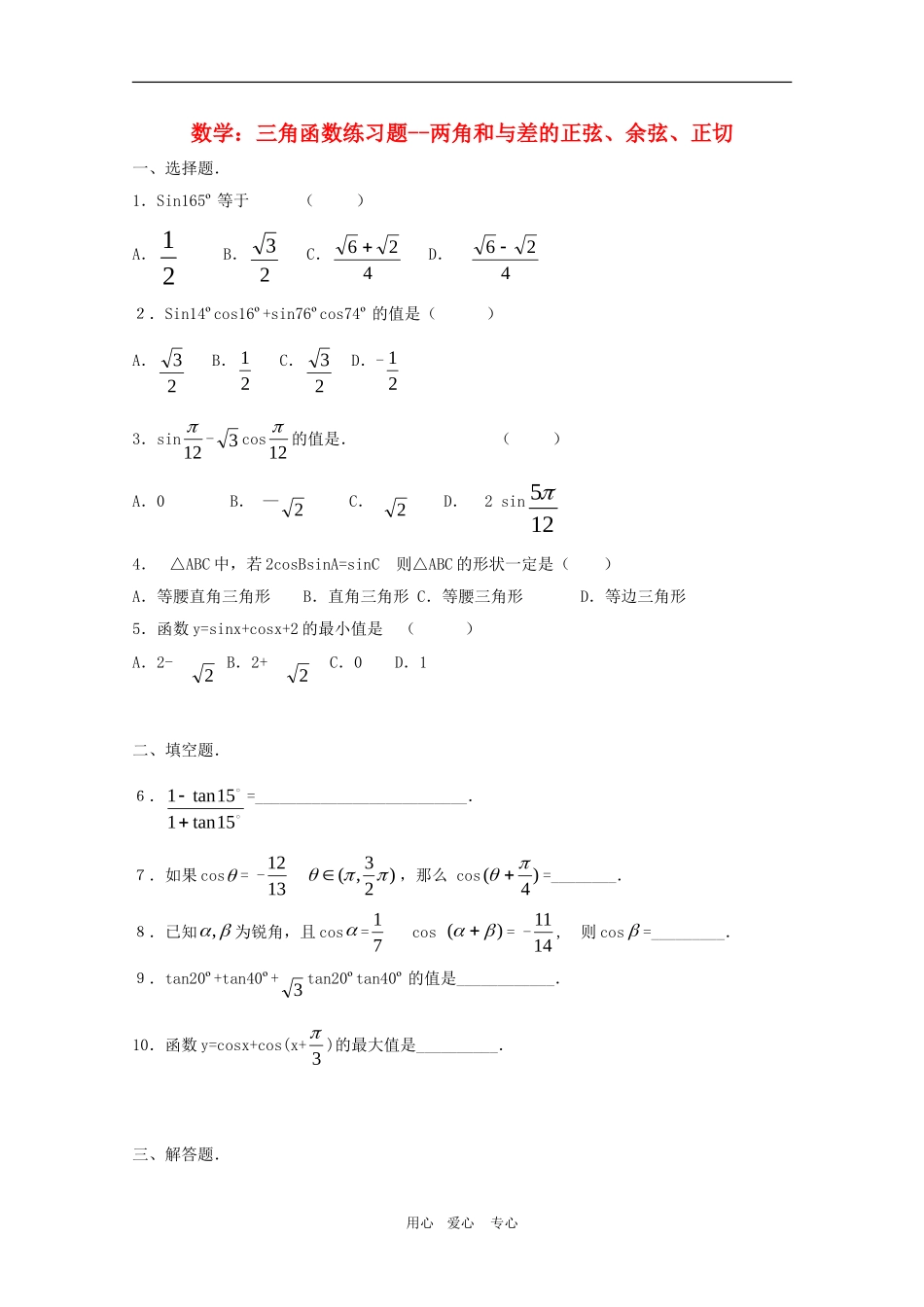
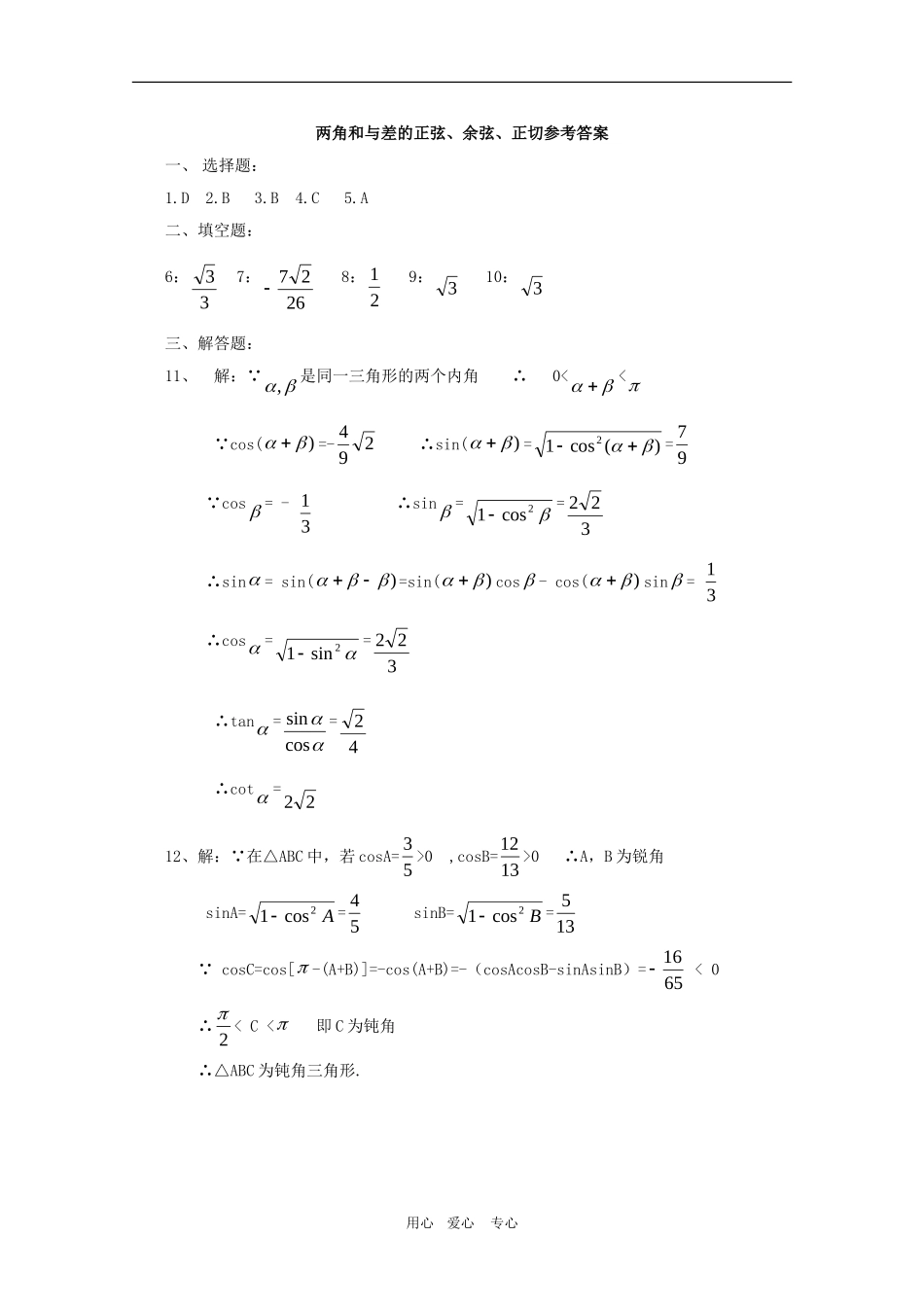
数学:三角函数练习题--两角和与差的正弦、余弦、正切一、选择题.1.Sin165º等于()A.21B.23C.426D.4262.Sin14ºcos16º+sin76ºcos74º的值是()A.23B.21C.23D.-213.sin12-3cos12的值是.()A.0B.—2C.2D.2sin1254.△ABC中,若2cosBsinA=sinC则△ABC的形状一定是()A.等腰直角三角形B.直角三角形C.等腰三角形D.等边三角形5.函数y=sinx+cosx+2的最小值是()A.2-2B.2+2C.0D.1二、填空题.6.15tan115tan1=__________________________.7.如果cos=-1312)23,(,那么cos)4(=________.8.已知,为锐角,且cos=71cos)(=-1411,则cos=_________.9.tan20º+tan40º+3tan20ºtan40º的值是____________.10.函数y=cosx+cos(x+3)的最大值是__________.三、解答题.用心爱心专心11.若,是同一三角形的两个内角,cos=-31,cos()=-294.求cot的值.12.在△ABC中,若cosA=53,cosB=1312,试判断三角形的形状.用心爱心专心两角和与差的正弦、余弦、正切参考答案一、选择题:1.D2.B3.B4.C5.A二、填空题:6:337:26278:219:310:3三、解答题:11、解:∵,是同一三角形的两个内角∴0<<∵cos()=-294∴sin()=)(cos12=97∵cos=-31∴sin=2cos1=322∴sin=sin()=sin()cos-cos()sin=31∴cos=2sin1=322∴tan=cossin=42∴cot=2212、解:∵在△ABC中,若cosA=53>0,cosB=1312>0∴A,B为锐角sinA=A2cos1=54sinB=B2cos1=135∵cosC=cos[-(A+B)]=-cos(A+B)=-(cosAcosB-sinAsinB)=6516<0∴2

1、当您付费下载文档后,您只拥有了使用权限,并不意味着购买了版权,文档只能用于自身使用,不得用于其他商业用途(如 [转卖]进行直接盈利或[编辑后售卖]进行间接盈利)。
2、本站所有内容均由合作方或网友上传,本站不对文档的完整性、权威性及其观点立场正确性做任何保证或承诺!文档内容仅供研究参考,付费前请自行鉴别。
3、如文档内容存在违规,或者侵犯商业秘密、侵犯著作权等,请点击“违规举报”。

碎片内容

高三数学:三角函数练习题--两角和与差的正弦、余弦、正切人教版

您可能关注的文档

慧源书店+ 关注
实名认证
内容提供者

从事历史教学,热爱教育,高度负责。

相关文档

确认删除?
微信客服
  • 扫码咨询
会员Q群
  • 会员专属群点击这里加入QQ群