电脑桌面
添加小米粒文库到电脑桌面
安装后可以在桌面快捷访问

高三数学第一轮复习:椭圆人教版VIP免费

高三数学第一轮复习:椭圆人教版_第1页
1/11
高三数学第一轮复习:椭圆人教版_第2页
2/11
高三数学第一轮复习:椭圆人教版_第3页
3/11
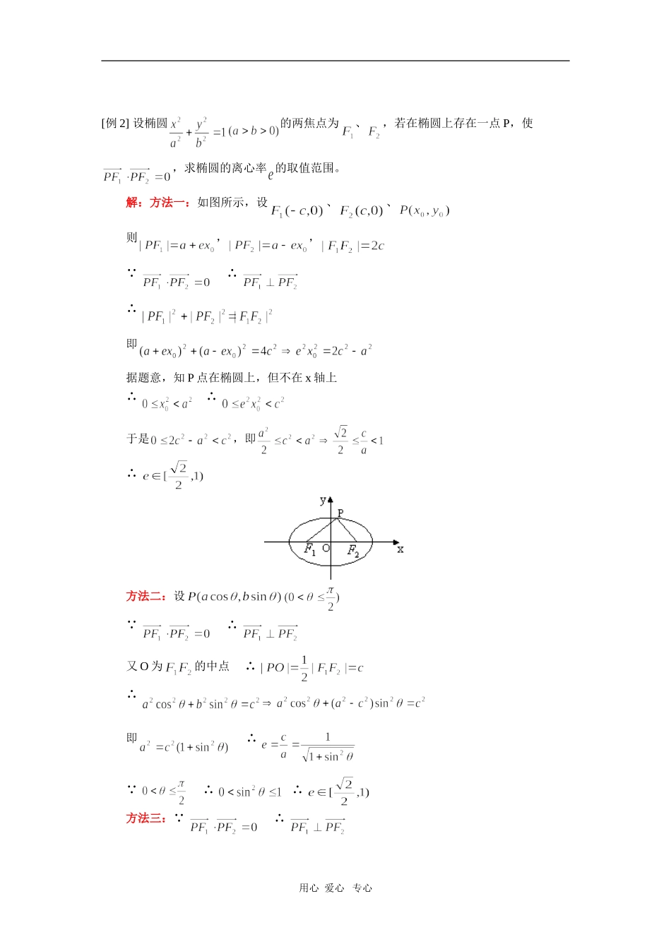
高三数学第一轮复习:椭圆人教版【本讲教育信息】一.教学内容:椭圆二.本周教学重难点:掌握椭圆的定义、标准方程和椭圆的简单几何性质,了解椭圆的参数方程,了解椭圆的初步应用。【典型例题】[例1]已知A、B是椭圆上的点,是右焦点且,AB的中点N到左准线的距离等于,求此椭圆方程。解:如图,设为左焦点,连结、,则根据椭圆定义有再设A、B、N三点到左准线距离分别为、、由梯形中位线定理,有而已知∴∴得离心率 ,∴∴,则椭圆方程为用心爱心专心[例2]设椭圆的两焦点为、,若在椭圆上存在一点P,使,求椭圆的离心率的取值范围。解:方法一:如图所示,设、、则,, ∴∴即据题意,知P点在椭圆上,但不在x轴上∴∴于是,即∴方法二:设 ∴又O为的中点∴∴即∴ ∴∴方法三: ∴用心爱心专心∴P点在以为直径的圆上,又P点在椭圆上∴圆与椭圆有公共点由图知,即∴∴[例3]已知A、B、D三点不在一条直线上,且,,,,(1)求E点的轨迹方程;(2)过A作直线交以A、B为焦点的椭圆于M、N两点,线段MN的中点到y轴的距离为,且直线MN与E点的轨迹相切,求椭圆的方程。解:(1) ∴E为BD中点,设E(x,y),则 ∴,即又 A、B、D三点不共线∴故E点的轨迹方程为(2)依题设,直线MN与圆相切,设切点为Q,坐标原点为O,则为直角三角形。 ∴∴根据对称性,不妨设,则直线的方程为 线段MN的中点到y轴的距离为∴中点坐标为()∴由用心爱心专心整理后得∴∴又 ∴故所求椭圆方程为[例4]已知常数,在矩形ABCD中,AB=4,BC=,O为AB的中点,点E、F、G分别在BC、CD、DA上移动,且,P为GE和OF的交点,如图,问是否存在两个定点,使P到这两点的距离的和为定值?若存在,求出这两点的坐标及此定值;若不存在,请说明理由。解:按题意有设由此有直线OF的方程为①直线GE的方程为②从①②消去参数,得点P(x,y)坐标满足方程整理得当时,点P的轨迹为圆弧,所以不存在符合题意的两点当时,点P的轨迹为椭圆的一部分,点P到该椭圆焦点的距离的和为定长当时,点P到椭圆两个焦点的距离之和为定值当时,点P到椭圆两个焦点(0,),(0,)的距离之和为定值。[例5]如图在直角梯形ABCD中,AD=3,AB=4,BC=,曲线DE上任一点到A、B两点距离之和都相等。(1)适当建立坐标系,求曲线DE的方程;(2)过C点能否作一条与曲线DE相交且以C为中点的弦?如果不能,请说明理由,如用心爱心专心果能,请求出弦所在直线的方程。解:(1)取AB的中点O为原点,以AB所在直线为x轴建立直角坐标系,由题意曲线DE为一段椭圆弧,得,∴∴曲线DE的方程为(2)方法一:C点坐标为C()设存在直线与曲线ED交于点M(),N(),∴∴,∴∴直线的方程为即将直线方程代入曲线DE的方程,得解得,M(),N()(M,N在曲线上)∴存在直线,其方程为方法二:取曲线DE与y轴的交点M(0,)和与x轴的交点N(4,0),显然C(2,)为M,N的中点,所以弦MN即为所求,其所在直线方程为,即[例6]已知椭圆()与直线相交于A,B两点,椭圆离心率为。(1)当椭圆的右准线为时,求AB的长度及AB中点的坐标;(2)当,并且时,求椭圆长轴长的取值范围。解:(1)设A()B()由已知得,,解得∴椭圆方程为用心爱心专心由∴∴,∴由得AB中点横坐标为,代入直线方程得AB中点的纵坐标为,即AB中点坐标为()(2)由消去y得∴即(*)此时,①由,得又∴②将①代入②:由得代入上式整理得由已知得∴满足(*)条件∴[例7]如图,已知椭圆的中心在原点,焦点F1、F2在x轴上,长轴A1A2的长为4,左准线与x轴的交点为M,。(1)求椭圆的方程;(2)点P在直线上运动,求的最大值。用心爱心专心解:(1)设椭圆方程为半焦距为,则,由题意得∴∴(2)设P(),,则直线的斜率则直线的斜率 ∴为锐角∴当,即时,取到最大值此时最大∴的最大值为【模拟试题】一.选择题1.已知椭圆的焦点是F1、F2,P是椭圆上的一个动点,如果延长到Q,使得,那么动点Q的轨迹是()A.圆B.椭圆C.双曲线的一支D.抛物线2.若方程表示准线平行于x轴的椭圆,则m的范围是()A.B.mC.且D.且3.已知,,动点P满足(且为常数),则P点的轨迹是()A.以F1、F2为焦点的椭圆B.线段C.不存在D.以上情况均有可...

1、当您付费下载文档后,您只拥有了使用权限,并不意味着购买了版权,文档只能用于自身使用,不得用于其他商业用途(如 [转卖]进行直接盈利或[编辑后售卖]进行间接盈利)。
2、本站所有内容均由合作方或网友上传,本站不对文档的完整性、权威性及其观点立场正确性做任何保证或承诺!文档内容仅供研究参考,付费前请自行鉴别。
3、如文档内容存在违规,或者侵犯商业秘密、侵犯著作权等,请点击“违规举报”。

碎片内容

高三数学第一轮复习:椭圆人教版

您可能关注的文档

确认删除?
VIP
微信客服
  • 扫码咨询
会员Q群
  • 会员专属群点击这里加入QQ群
客服邮箱
回到顶部