电脑桌面
添加小米粒文库到电脑桌面
安装后可以在桌面快捷访问

高三数学第一轮复习:不等式(二)人教版知识精讲VIP免费

高三数学第一轮复习:不等式(二)人教版知识精讲_第1页
1/10
高三数学第一轮复习:不等式(二)人教版知识精讲_第2页
2/10
高三数学第一轮复习:不等式(二)人教版知识精讲_第3页
3/10
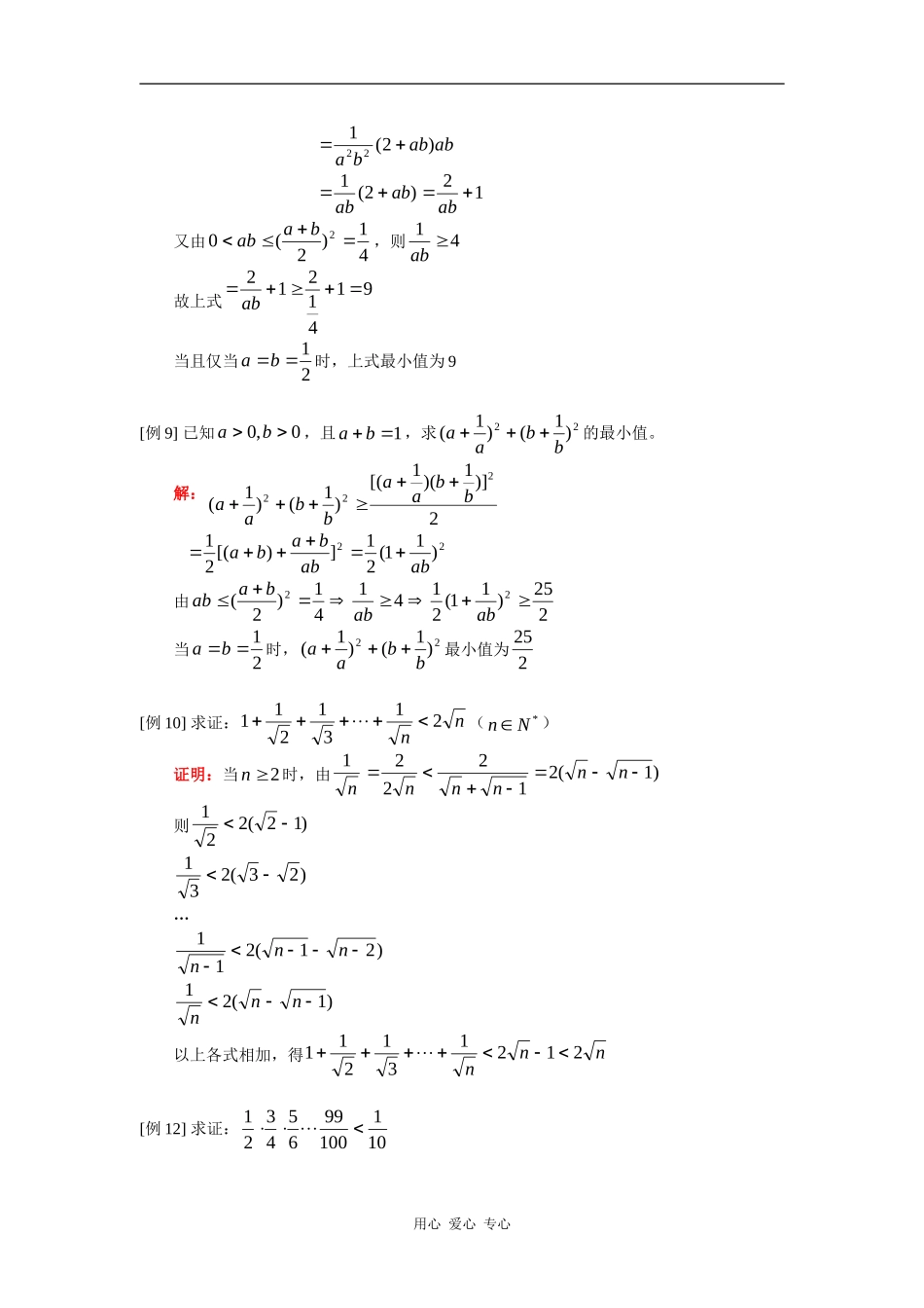
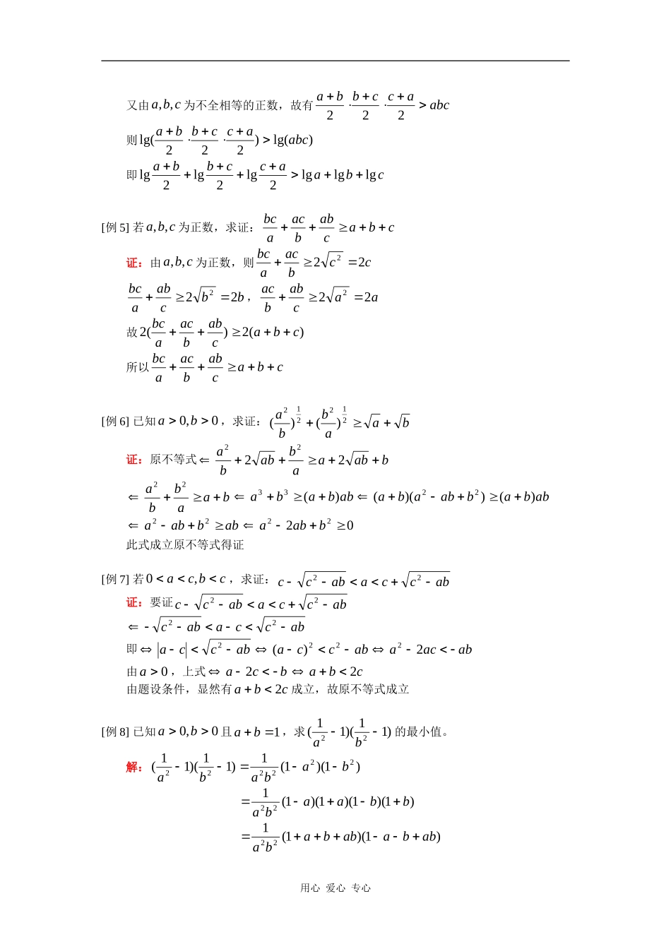
高三数学第一轮复习:不等式(二)人教版【本讲教育信息】一.教学内容:不等式(二)【典型例题】[例1]已知Rcba,,,且1222cba,试证121cabcab证:由)(222cabcabcba0])()()[(21222accbba则cabcabcba22即1cabcab又由0)(21)(212222cbacbacabcab则cabcab21)(21222cba因此121cabcab法(1)充分利用已知条件1222cba使要证不等式等价于222222)(21cbaacbcabcba(2)比较法是证不等式的常用方法之一,本题还可用基本不等式法[例2]已知0,0ba,则abba。答案:2)(babaabba证明:1)()(22babababaabba1)()(22baabbababaab得证。[例3]已知0,0ba0,c则。答案:3)(cbacbaabccba证明:1)()()()(3333232323accbbabacacbcbacbacbaaccbbacbaabccba[例4]若cba,,是不全相等的正数,求证:cbaaccbbalglglg2lg2lg2lg证:由Rcba,,则02,02,02acacbccbabba用心爱心专心又由cba,,为不全相等的正数,故有abcaccbba222则)lg()222lg(abcaccbba即cbaaccbbalglglg2lg2lg2lg[例5]若cba,,为正数,求证:cbacabbacabc证:由cba,,为正数,则ccbacabc222bbcababc222,aacabbac222故)(2)(2cbacabbacabc所以cbacabbacabc[例6]已知0,0ba,求证:baabba212212)()(证:原不等式babaababba2222baabba22abbabababaabbaba)())(()(2233abbaba220222baba此式成立原不等式得证[例7]若cbca,0,求证:abccaabcc22证:要证abccaabcc22abccaabc22即abacaabccaabcca2)(2222由0a,上式bca2cba2由题设条件,显然有cba2成立,故原不等式成立[例8]已知0,0ba且1ba,求)11)(11(22ba的最小值。解:)1)(1(1)11)(11(222222bababa)1)(1)(1)(1(122bbaaba)1)(1(122abbaabbaba用心爱心专心ababba)2(12212)2(1ababab又由41)2(02baab,则41ab故上式9141212ab当且仅当21ba时,上式最小值为9[例9]已知0,0ba,且1ba,求22)1()1(bbaa的最小值。解:2)]1)(1[()1()1(222bbaabbaa22)11(21])[(21ababbaba由225)11(214141)2(22ababbaab当21ba时,22)1()1(bbaa最小值为225[例10]求证:nn2131211(*Nn)证明:当2n时,由n1)1(21222nnnnn则)12(221)23(231…)21(211nnn)1(21nnn以上各式相加,得nnn212131211[例12]求证:10110099654321用心爱心专心证:左22222)10099()65()43()21()10110010099()7665()5443()3221(21011011即左101推广:一般地121212654321nnn证:左22222)212()65()43()21(nn)122212()7665()5443()3221(nnnn121n故121ny[例12]设naaa,,,21均为正数,求证:12212321322121)()()(aaaaaaaaaaaann证:由0ia,in,2,1左))(()(3212132112aaaaaaaaaa))((21121nnnaaaaaaa)11()11(32121211aaaaaaaa121121121111)11(aaaaaaaaaaannn[例13]设Rcba,,,且1,1,1cba,求证:1cabcab分析:原不等式01)(bcacb,设辅助函数1)()(bcxcbxf()1,1(x)即证0)(xf(辅助函数法)证明:设)1,1(,1)()(xbcxcbxf由)1)(1(1)1(cbbccbf又1,1cb,则0)1)(1(cb即0)1(f,同理0)1(f于是0)(xf,)1,1(a,故f0)(a即01)(...

1、当您付费下载文档后,您只拥有了使用权限,并不意味着购买了版权,文档只能用于自身使用,不得用于其他商业用途(如 [转卖]进行直接盈利或[编辑后售卖]进行间接盈利)。
2、本站所有内容均由合作方或网友上传,本站不对文档的完整性、权威性及其观点立场正确性做任何保证或承诺!文档内容仅供研究参考,付费前请自行鉴别。
3、如文档内容存在违规,或者侵犯商业秘密、侵犯著作权等,请点击“违规举报”。

碎片内容

高三数学第一轮复习:不等式(二)人教版知识精讲

您可能关注的文档

确认删除?
VIP
微信客服
  • 扫码咨询
会员Q群
  • 会员专属群点击这里加入QQ群
客服邮箱
回到顶部