电脑桌面
添加小米粒文库到电脑桌面
安装后可以在桌面快捷访问

高三数学一轮复习周练试题(1)教师版苏科版VIP免费

高三数学一轮复习周练试题(1)教师版苏科版_第1页
1/6
高三数学一轮复习周练试题(1)教师版苏科版_第2页
2/6
高三数学一轮复习周练试题(1)教师版苏科版_第3页
3/6
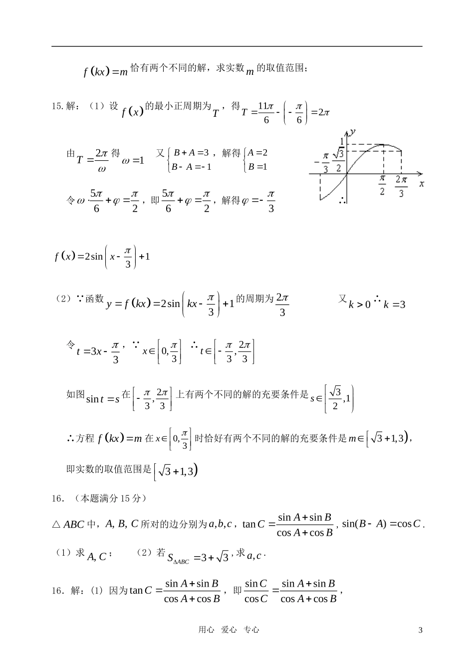
高三数学一轮复习周练试题(1)教师版一、填空题(本大题共14小题,每小题5分,共70分).1、集合21,2xxyyA,则集合A=__.1.0,4,2.设m,n为整数,则“m,n均为偶数”是“m+n是偶数”的_______条件2.充分不必要3.已知),,2(,31)4sin(则sin=_________3.6244.设f(x)=52axbsinx+x,且f(-2)=3,则f(2)=____4.55.已知O是坐标原点,A1,2,8,4B,且03BCAB,则OC______5.5,26.如图,在任意四边形ABCD中,E,F分别是AD,BC的中点,若0EFCDAB,则=___6.27.设函数)(xf是定义在R上的周期为3的奇函数,若112)2(,1)1(aaff,则a的取值范围是7.10a或a8.若0,0yx,且1yx,则yxz的最大值是________8、19.在等比数列}{na中,5,4133115aaaa,则414aa______9、4或1410.已知直线03:,02:21yxlyxl,则这两条直线的夹角为________10.4(向量部分书上例题)11.把函数)32sin(xy的图像向右平移(>0)个单位,所得图像关于直线6x对用心爱心专心1称,则的最小值为_______11.1212.若对于a>0,b>0,c>0,有33abccba,当且仅当a=b=c时取等号。则当0x时,xx1322的最小值为______12.613.对于集合A,B,我们把集合BbAababa,|),(记作AB,例如A=2,1,B=4,3,则有AB=)6,2(),5,1(),6,1(),4,2(,BA=)6,2(),5,1(),6,1(),4,2(,若AB=)6,4(),2,0(,BA=)6,4(),2,0(则集合A,B分别为__13.A=5,1,B=1__14.]2,0[),cos|sin(|22xxxy的图像与直线ky有且仅有两个不同的交点,则k的取值范围为____14.2222k或k=1_____二.解答题(本大题共4小题,共60分).15.(本题满分14分)已知函数)2,0,0()sin()(ABxAxf的一系列对应值如下表:(Ⅰ)根据表格提供的数据求函数fx的一个解析式;(Ⅱ)根据(1)的结果,若函数0yfkxk周期为23,当0,3x时,方程用心爱心专心x63564311673176y11311132fkxm恰有两个不同的解,求实数m的取值范围;15.解:(1)设fx的最小正周期为T,得11266T由2T得1又31BABA,解得21AB令562,即562,解得3∴2sin13fxx(2) 函数2sin13yfkxkx的周期为23又0k∴3k令33tx, 0,3x∴2,33t如图sints在2,33上有两个不同的解的充要条件是3,12s∴方程fkxm在0,3x时恰好有两个不同的解的充要条件是31,3m,即实数的取值范围是31,316.(本题满分15分)△ABC中,,,ABC所对的边分别为,,abc,sinsintancoscosABCAB,sin()cosBAC.(1)求,AC;(2)若33ABCS,求,ac.16.解:(1)因为sinsintancoscosABCAB,即sinsinsincoscoscosCABCAB,用心爱心专心3所以sincossincoscossincossinCACBCACB,即sincoscossincossinsincosCACACBCB,得sin()sin()CABC.所以CABC,或()CABC(不成立).即2CAB,得3C,所以.23BA又因为1sin()cos2BAC,则6BA,或56BA(舍去)得5,412AB(2)162sin3328ABCSacBac,又sinsinacAC,即2322ac,22,23.ac17.(本题满分15分)某地产开发公司拟在如图所示夹角为60°的角形区域BAC内进行地产开发。根据市政府要求,此地产开发必须在角形区域的两边建一条定长为500m的绿化带PQ,并且规定由此绿化带和角形区域围成的△APQ的面积作为此开发商的开发面积。问开发商如何给P,Q进行选址,才能使自己的开发面积最大?并求最大开发面积。18.解:A=060,PQ=500,设AP=x,AQ=y,则2225002cosxyxy0602xy-2xycos060=xy用心爱心专心41sin2APQSxy06021350022=625003,当且仅当x=y时取等号....

1、当您付费下载文档后,您只拥有了使用权限,并不意味着购买了版权,文档只能用于自身使用,不得用于其他商业用途(如 [转卖]进行直接盈利或[编辑后售卖]进行间接盈利)。
2、本站所有内容均由合作方或网友上传,本站不对文档的完整性、权威性及其观点立场正确性做任何保证或承诺!文档内容仅供研究参考,付费前请自行鉴别。
3、如文档内容存在违规,或者侵犯商业秘密、侵犯著作权等,请点击“违规举报”。

碎片内容

高三数学一轮复习周练试题(1)教师版苏科版

您可能关注的文档

慧源书店+ 关注
实名认证
内容提供者

从事历史教学,热爱教育,高度负责。

相关文档

确认删除?
VIP
微信客服
  • 扫码咨询
会员Q群
  • 会员专属群点击这里加入QQ群
客服邮箱
回到顶部