电脑桌面
添加小米粒文库到电脑桌面
安装后可以在桌面快捷访问

甘肃省天水一中高一数学下学期期末试卷 理(含解析)-人教版高一全册数学试题VIP免费

甘肃省天水一中高一数学下学期期末试卷 理(含解析)-人教版高一全册数学试题_第1页
1/19
甘肃省天水一中高一数学下学期期末试卷 理(含解析)-人教版高一全册数学试题_第2页
2/19
甘肃省天水一中高一数学下学期期末试卷 理(含解析)-人教版高一全册数学试题_第3页
3/19
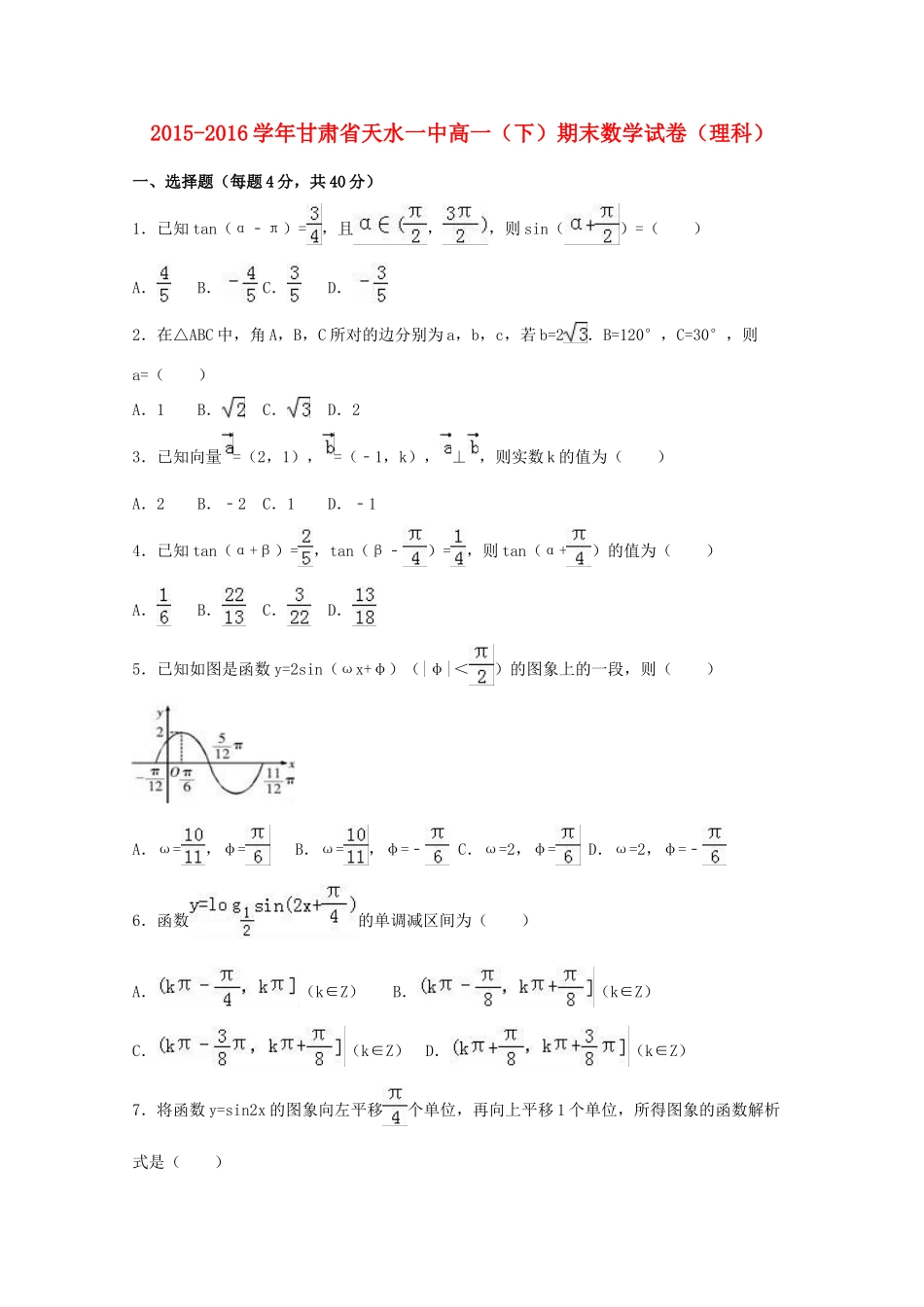
2015-2016学年甘肃省天水一中高一(下)期末数学试卷(理科)一、选择题(每题4分,共40分)1.已知tan(α﹣π)=,且,,则sin()=()A.B.C.D.2.在△ABC中,角A,B,C所对的边分别为a,b,c,若b=2.B=120°,C=30°,则a=()A.1B.C.D.23.已知向量=(2,1),=(﹣1,k),⊥,则实数k的值为()A.2B.﹣2C.1D.﹣14.已知tan(α+β)=,tan(β﹣)=,则tan(α+)的值为()A.B.C.D.5.已知如图是函数y=2sin(ωx+φ)(|φ|<)的图象上的一段,则()A.ω=,φ=B.ω=,φ=﹣C.ω=2,φ=D.ω=2,φ=﹣6.函数的单调减区间为()A.(k∈Z)B.(k∈Z)C.(k∈Z)D.(k∈Z)7.将函数y=sin2x的图象向左平移个单位,再向上平移1个单位,所得图象的函数解析式是()A.y=2cos2xB.y=2sin2xC.D.y=cos2x8.设a=sin14°+cos14°,b=sin16°+cos16°,c=,则a,b,c大小关系()A.a<b<cB.b<a<cC.c<b<aD.a<c<b9.若x是三角形的最小内角,则函数y=sinx+cosx﹣sinxcosx的最小值是()A.﹣+B.+C.1D.10.已知点G是△ABC的重心,且AG⊥BG,+=,则实数λ的值为()A.B.C.3D.2二、填空题(每题5分,共20分)11.已知函数y=sin(πx+φ)﹣2cos(πx+φ)(0<φ<π)的图象关于直线x=1对称,则sin2φ.12.已知在△ABC中,∠A=,AB=2,AC=4,=,=,=,则•的值为.13.在△ABC中,若tan=2sinC且AB=3,则△ABC的周长的取值范围.14.对函数,有下列说法:①f(x)的周期为4π,值域为[﹣3,1];②f(x)的图象关于直线对称;③f(x)的图象关于点对称;④f(x)在上单调递增;⑤将f(x)的图象向左平移个单位,即得到函数的图象.其中正确的是.(填上所有正确说法的序号).三、解答题(每题10分,共40分)15.已知平面向量=(1,x),=(2x+3,﹣x)(x∈R).(1)若∥,求|﹣|(2)若与夹角为锐角,求x的取值范围.16.已知函数f(x)=2sinx•cosx+2cos2x﹣(1)求函数f(x)的最小正周期和单调减区间;(2)已知△ABC的三个内角A,B,C的对边分别为a,b,c,其中a=7,若锐角A满足f(﹣)=,且sinB+sinC=,求bc的值.17.如图,某城市有一条公路正西方AO通过市中心O后转向北偏东α角方向的OB,位于该市的某大学M与市中心O的距离OM=3km,且∠AOM=β,现要修筑一条铁路L,L在OA上设一站A,在OB上设一站B,铁路在AB部分为直线段,且经过大学M,其中tanα=2,cosβ=,AO=15km.(1)求大学M在站A的距离AM;(2)求铁路AB段的长AB.18.在平面直角坐标系中,O为坐标原点,A、B、C三点满足=+.(Ⅰ)求证:A、B、C三点共线;(Ⅱ)求的值;(Ⅲ)已知A(1,cosx)、B(1+cosx,cosx),x∈[0,],f(x)=•﹣(2m+)||的最小值为﹣,求实数m的值.2015-2016学年甘肃省天水一中高一(下)期末数学试卷(理科)参考答案与试题解析一、选择题(每题4分,共40分)1.已知tan(α﹣π)=,且,,则sin()=()A.B.C.D.【考点】运用诱导公式化简求值.【分析】由已知tan(α﹣π)=得到tanα=,化为弦函数后与sin2α+cos2α=1联立求得cosα的值,结合α得范围得答案.【解答】解:由tan(α﹣π)=,得tanα=,即①又sin2α+cos2α=1②联立①②解得cosα=.又,,∴cosα=.∴sin()=cosα=.故选:B.2.在△ABC中,角A,B,C所对的边分别为a,b,c,若b=2.B=120°,C=30°,则a=()A.1B.C.D.2【考点】正弦定理.【分析】由已知利用正弦定理可求c的值,利用三角形内角和定理可求A,再利用余弦定理即可解得a的值.【解答】解: b=2.B=120°,C=30°,∴由正弦定理可得:c===2,∴A=180°﹣B﹣C=30°,∴利用余弦定理可得:a2=b2+c2﹣2bccosA=12+4﹣2×=4,解得:a=2.故选:D.3.已知向量=(2,1),=(﹣1,k),⊥,则实数k的值为()A.2B.﹣2C.1D.﹣1【考点】平面向量数量积的运算.【分析】根据条件便有,进行向量数量积的坐标运算便可得出k的值.【解答】解: ;∴;∴k=2.故选:A.4.已知tan(α+β)=,tan(β﹣)=,则tan(α+)的值为()A.B.C.D.【考点】两角和与差的正切函数.【分析】直接利用两角和的正切...

1、当您付费下载文档后,您只拥有了使用权限,并不意味着购买了版权,文档只能用于自身使用,不得用于其他商业用途(如 [转卖]进行直接盈利或[编辑后售卖]进行间接盈利)。
2、本站所有内容均由合作方或网友上传,本站不对文档的完整性、权威性及其观点立场正确性做任何保证或承诺!文档内容仅供研究参考,付费前请自行鉴别。
3、如文档内容存在违规,或者侵犯商业秘密、侵犯著作权等,请点击“违规举报”。

碎片内容

甘肃省天水一中高一数学下学期期末试卷 理(含解析)-人教版高一全册数学试题

您可能关注的文档

慧源书店+ 关注
实名认证
内容提供者

从事历史教学,热爱教育,高度负责。

相关文档

确认删除?
VIP
微信客服
  • 扫码咨询
会员Q群
  • 会员专属群点击这里加入QQ群
客服邮箱
回到顶部