电脑桌面
添加小米粒文库到电脑桌面
安装后可以在桌面快捷访问

成都市龙泉中学高一数学第一单元测试卷 集合与函数的概念 新课标人教A版必修1VIP免费

成都市龙泉中学高一数学第一单元测试卷 集合与函数的概念 新课标人教A版必修1_第1页
1/5
成都市龙泉中学高一数学第一单元测试卷 集合与函数的概念 新课标人教A版必修1_第2页
2/5
成都市龙泉中学高一数学第一单元测试卷 集合与函数的概念 新课标人教A版必修1_第3页
3/5
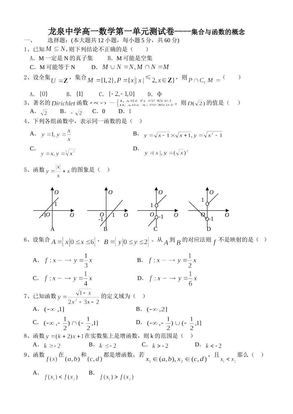
龙泉中学高一数学第一单元测试卷----集合与函数的概念一、选择题:(本大题共12小题,每小题5分,共60分)1、已知则下列结论不正确的是()A.M一定是N的真子集B.M可能是空集C.M可能等于ND.2、设全集,集合≤,则()A.B.C.D.3、著名的函数,则的值是()A.B.C.0D.14、下列各组函数中,表示同一函数的是()A.B.C.D.5、函数的图象是()ABCD6、设集合,。从到的对应法则不是映射的是()A.B.C.D.7、已知函数的定义域为()A.B.C.D.8、函数在实数集上是增函数,则k的范围是()A.B.C.D.9、函数在和都是增函数,若,且那么()A.B.OOOOOOOOOOOO-111-1-1-111C.D.无法确定10、定义在上的奇函数为减函数,若,给出下列不等式:(1)(2)(3)(4)其中正确的是()A.(1)和(4)B.(2)和(3)C.(1)和(3)D.(2)和(4)11、若一系列函数的解析式相同,值域相同,但定义域不同,则称这些函数为“孪生函数”,例如解析式为y=2x2+1,值域为{9}的“孪生函数”三个:(1)y=2x2+1,;(2)y=2x2+1,;(3)y=2x2+1,。那么函数解析式为y=2x2+1,值域为{1,5}的“孪生函数”共有()A.5个B.4个C.3个D.2个12、若函数的图象是下列四个之一,则()A.1B.3C.D.二、填空题:(本大题共4小题,每小题4分,共16分)13、已知函数,则=14、已知其中为常数,若,则=15、如果在上的最大值是2,那么在上的最小值是_____16、函数的定义域为,值域为,则满足条件的实数组成的集合是三、解答题:(本大题共6小题,最后一题14分,其余每小题12分,共74分)17、已知集合,,,求和18、已知函数,(1)若,求的值新疆源头学子小屋特级教师王新敞http://www.xjktyg.com/wxc/wxckt@126.comwxckt@126.comhttp://www.xjktyg.com/wxc/王新敞特级教师源头学子小屋新疆;(2)若为偶函数,求。19、已知函数有如下性质:如果常数,那么该函数在上是减函数,在上是增函数。写出的增区间,并用定义证明。20、函数的定义域是,且满足,。(1)求;(2)求,,;(3)你能猜测出等于多少吗21、在经济学中,函数的边际函数定义为,某公司每月最多生产100台产品,生产台的收入函数为(单位:元),其成本函数为(单位:元),利润是收入与成本之差。(1)求利润函数及边际利润函数;(2)利润函数及边际利润函数是否具有相等的最大值?22、已知函数,(1)求出的值域;(2)作出的图象;(3)讨论方程解的个数。参考答案一、选择题:ACCCCB,DCDACB二、填空题:13、-614、-1015、16、{-2}三、解答题:17、,18、(1);(2)。19、增区间为,证明略20、(1)=0;(2)=-1,=-2,=-3;(3)21、22、略

1、当您付费下载文档后,您只拥有了使用权限,并不意味着购买了版权,文档只能用于自身使用,不得用于其他商业用途(如 [转卖]进行直接盈利或[编辑后售卖]进行间接盈利)。
2、本站所有内容均由合作方或网友上传,本站不对文档的完整性、权威性及其观点立场正确性做任何保证或承诺!文档内容仅供研究参考,付费前请自行鉴别。
3、如文档内容存在违规,或者侵犯商业秘密、侵犯著作权等,请点击“违规举报”。

碎片内容

成都市龙泉中学高一数学第一单元测试卷 集合与函数的概念 新课标人教A版必修1

您可能关注的文档

慧源书店+ 关注
实名认证
内容提供者

从事历史教学,热爱教育,高度负责。

确认删除?
VIP
微信客服
  • 扫码咨询
会员Q群
  • 会员专属群点击这里加入QQ群
客服邮箱
回到顶部