电脑桌面
添加小米粒文库到电脑桌面
安装后可以在桌面快捷访问

高中数学 第二章 基本初等函数(Ⅰ)2.2 对数函数 2.2.1 对数与对数运算 第1课时 对数课时分层作业17 新人教A版必修1-新人教A版高一必修1数学试题VIP免费

高中数学 第二章 基本初等函数(Ⅰ)2.2 对数函数 2.2.1 对数与对数运算 第1课时 对数课时分层作业17 新人教A版必修1-新人教A版高一必修1数学试题_第1页
1/3
高中数学 第二章 基本初等函数(Ⅰ)2.2 对数函数 2.2.1 对数与对数运算 第1课时 对数课时分层作业17 新人教A版必修1-新人教A版高一必修1数学试题_第2页
2/3
高中数学 第二章 基本初等函数(Ⅰ)2.2 对数函数 2.2.1 对数与对数运算 第1课时 对数课时分层作业17 新人教A版必修1-新人教A版高一必修1数学试题_第3页
3/3
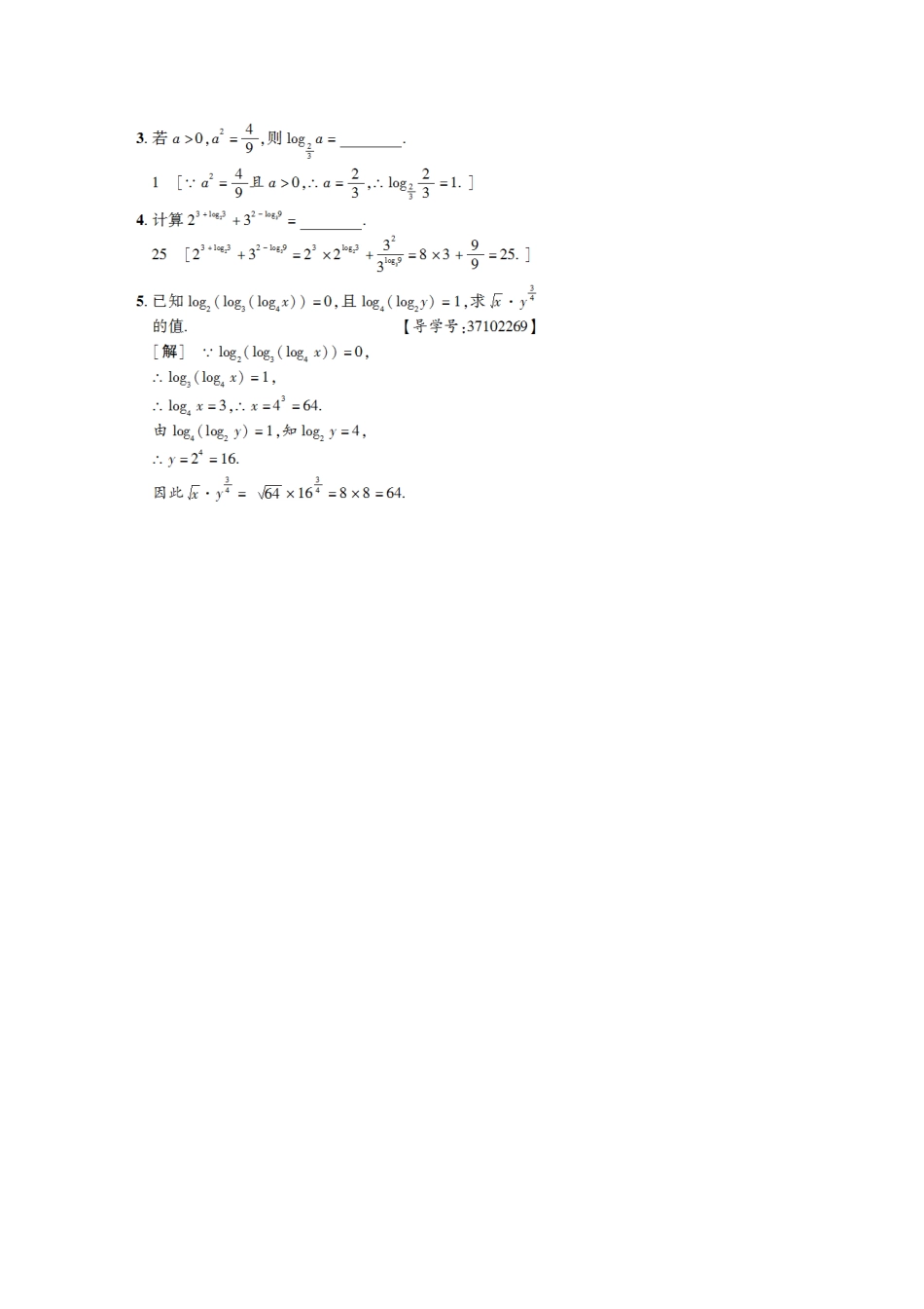
课时分层作业(十七)对数(建议用时:40分钟)[学业达标练]一、选择题1.已知f(ex)=x,则f(3)=()A.log3eB.ln3C.e3D.3eB[∵f(ex)=x,∴由ex=3得x=ln3,即f(3)=ln3,选B.]2.方程2log3x=的解是()【导学号:37102263】A.9B.C.D.D[∵2log3x==2-2,∴log3x=-2,∴x=3-2=.]3.log3=()A.4B.-4C.D.-B[令log3=t,则3t==3-4,∴t=-4.]4.log5(log3(log2x))=0,则x等于()【导学号:37102264】A.B.C.D.C[∵log5(log3(log2x))=0,∴log3(log2x)=1,∴log2x=3,∴x=23=8,∴x=8===.]5.下列各式:①lg(lg10)=0;②lg(lne)=0;③若10=lgx,则x=10;④若log25x=,则x=±5.其中正确的个数有()A.1个B.2个C.3个D.4个B[底的对数为1,1的对数为0,故①②正确,0和负数没有对数,故④错误,③中10=lgx,应该有x=1010,所以只有①②正确.]二、填空题6.若log2(1-2x)=1,则x=________.【导学号:37102265】-[由log2(1-2x)=1得1-2x=2,∴x=-.]7.已知logx=3,则x=________.[∵logx=3,∴x=3,∴x==.]8.使log(x-1)(x+2)有意义的x的取值范围是________.【导学号:37102266】(1,2)∪(2,+∞)[要使log(x-1)(x+2)有意义,则∴x>1且x≠2.]三、解答题[冲A挑战练]=4-32-(-2)+3=0.选B.]2.已知x2+y2-4x-2y+5=0,则logx(yx)的值是()【导学号:37102268】A.1B.0C.xD.yB[由x2+y2-4x-2y+5=0,则(x-2)2+(y-1)2=0,∴x=2,y=1,logx(yx)=log2(12)=0.]

1、当您付费下载文档后,您只拥有了使用权限,并不意味着购买了版权,文档只能用于自身使用,不得用于其他商业用途(如 [转卖]进行直接盈利或[编辑后售卖]进行间接盈利)。
2、本站所有内容均由合作方或网友上传,本站不对文档的完整性、权威性及其观点立场正确性做任何保证或承诺!文档内容仅供研究参考,付费前请自行鉴别。
3、如文档内容存在违规,或者侵犯商业秘密、侵犯著作权等,请点击“违规举报”。

碎片内容

高中数学 第二章 基本初等函数(Ⅰ)2.2 对数函数 2.2.1 对数与对数运算 第1课时 对数课时分层作业17 新人教A版必修1-新人教A版高一必修1数学试题

您可能关注的文档

海博书城+ 关注
实名认证
内容提供者

从事历史教学,热爱教育,高度负责。

确认删除?
VIP
微信客服
  • 扫码咨询
会员Q群
  • 会员专属群点击这里加入QQ群
客服邮箱
回到顶部