电脑桌面
添加小米粒文库到电脑桌面
安装后可以在桌面快捷访问

高一数学数列通项的计算人教实验版(A)知识精讲VIP免费

高一数学数列通项的计算人教实验版(A)知识精讲_第1页
1/9
高一数学数列通项的计算人教实验版(A)知识精讲_第2页
2/9
高一数学数列通项的计算人教实验版(A)知识精讲_第3页
3/9
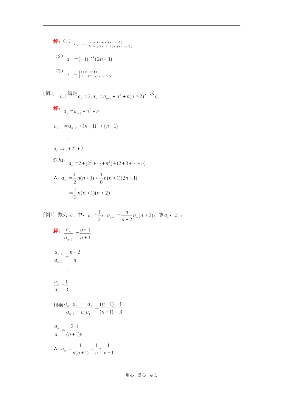
高一数学数列通项的计算人教实验版(A)【本讲教育信息】一.教学内容:数列通项的计算二.重点、难点:1.直接分析法2.公式法3.由,求4.由递推关系,求(1)(2)(3)【典型例题】[例1]写出下面数列的一个通项公式(1)0.4,0.44,0.444,……(2),,,,,……(3),,,(4)2,3,2,1,2,3,2,1,……解:(1)(2)(3)(4)[例2]由,求(1)(2)(3)用心爱心专心解:(1)(2)(3)[例3]满足,求。解:迭加:∴[例4]数列中,,,求,。解:相乘∴用心爱心专心∴[例5]数列中,,求。解:变形∴∴[例6]满足,,求。解:∴相减∴∴∴[例7]满足,求。解:令,相减∴∴用心爱心专心[例8]数列前n项和为与满足,,求。解:∴∴∴成等差数列,∴∴∴[例9]数列的各项均为正值,,对任意,,都成立,求数列的通项公式。解:由得,数列的各项为正值,∴,整理为又∴数列为等比数列∴,即为数列的通项公式∴[例10]已知函数,数列满足。(1)求数列的通项公式;(2)证明数列是递减数列解:(1)用心爱心专心即解得(2)证明:所以数列是递减数列[例11]已知数列和函数。当n为正偶数时,;当n为正奇数时,,求的通项公式。解:当n为正偶数时,此时为正奇数,则∴解得当n为正奇数时,此时为正偶数,则∴解得而当n=1时,由已知得∴故数列的通项公式为用心爱心专心【模拟试题】1.上述关于星星的图案构成一个数列,该数列的一个通项公式是()A.B.C.D.2.设数列,则是这个数列的()A.第六项B.第七项C.第八项D.第九项3.数列1,0,1,0,1,……的一个通项公式为()A.B.C.D.4.数列中,,则此数列的最大项的值是()A.107B.108C.D.1095.下面对数列的理解有四种:①数列可以看成一个定义在上的函数;②数列的项数是无限的;③数列若用图象表示,从图象上看都是一群孤立的点;④数列的通项公式是唯一的。其中说法正确的序号是()A.①②③B.②③④C.①③D.①②③④6.数列7,77,777,7777,77777,……的通项公式为。7.数列中,,那么150是其第项。8.某细菌在培养过程中,每半小时分裂一次(一个分裂为两个),若开始只有这种细菌一个,设,第一次分裂后的细菌数目为,第二次分裂后细菌的数目为,第n-1次分裂后细菌数目为,那么()A.B.C.D.9.在等比数列中,首项,若是递增数列,则公比q满足()A.B.C.D.10.若是等比数列,其公比是q,且成等差数列,则q等于()A.1或2B.1或C.或D.或2用心爱心专心11.已知等差数列的公差为3,若成等比数列,则等于()A.8B.10C.12D.1412.生物学中指出,生态系统中,在输入一个营养级的能量中,大约有10%—20%的能量能够流动到下一个营养级(称为能量传递率),在H1→H2→H3→H4→H5→H6这条生物链中,若使H6获得10kJ的能量,则需要H1最多提供的能量是()A.B.C.D.13.数列满足,,则。14.在如图的表格中,每格填上一个数字后,使每一横行成等差数列,每一纵行成等比数列,则的值为。15.已知数列1,3,6……的各项是由一个等比数列和一个等差数列的对应项相加而得到,其中等差数列的首项为0。(1)求与的通项公式;(2)求这个数列的前n项和。16.已知数列,满足,,当时,,若数列满足。(1)求;(2)求证:当时,;(3)求证:仅存在两个正整数m,使得。17.(05年天津卷,文18)若公比为c的等比数列的首项且满足。(1)求c的值;(2)求数列的前n项和。用心爱心专心试题答案1.C2.B3.C4.B5.C6.7.168.A9.C10.D11.C12.C13.14.115.解:(1)设数列1,3,6,…为,其中为等比数列,为等差数列,分别为数列、数列的公比与公差。∴,且解得∴(2)16.解:(1)(2)证:时,∴当时,(3)证:易算出,,,当时,,则从第5项开始,构成一个以为首项,公差为的等差数列由,解出因此,满足的正整数只有两个或17.解:(1)由题设,当时,,则由已知条件易知,因此,即,解得或用心爱心专心(2)当时,数列是一个常数列,即,这时,数列的前n项和。当时,数列是一个公比为的等比数列,即,这时,数列的前n项和①①式-①式,得所以用心爱心专心

1、当您付费下载文档后,您只拥有了使用权限,并不意味着购买了版权,文档只能用于自身使用,不得用于其他商业用途(如 [转卖]进行直接盈利或[编辑后售卖]进行间接盈利)。
2、本站所有内容均由合作方或网友上传,本站不对文档的完整性、权威性及其观点立场正确性做任何保证或承诺!文档内容仅供研究参考,付费前请自行鉴别。
3、如文档内容存在违规,或者侵犯商业秘密、侵犯著作权等,请点击“违规举报”。

碎片内容

高一数学数列通项的计算人教实验版(A)知识精讲

您可能关注的文档

海博书城+ 关注
实名认证
内容提供者

从事历史教学,热爱教育,高度负责。

确认删除?
VIP
微信客服
  • 扫码咨询
会员Q群
  • 会员专属群点击这里加入QQ群
客服邮箱
回到顶部