电脑桌面
添加小米粒文库到电脑桌面
安装后可以在桌面快捷访问

高一数学必修2 第四章 圆与方程综合训练VIP免费

高一数学必修2 第四章 圆与方程综合训练_第1页
1/4
高一数学必修2 第四章 圆与方程综合训练_第2页
2/4
高一数学必修2 第四章 圆与方程综合训练_第3页
3/4
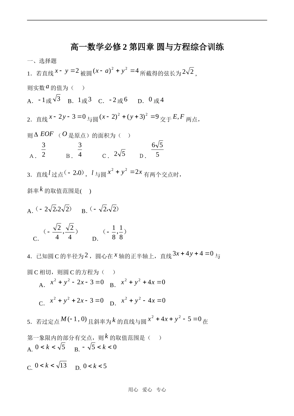
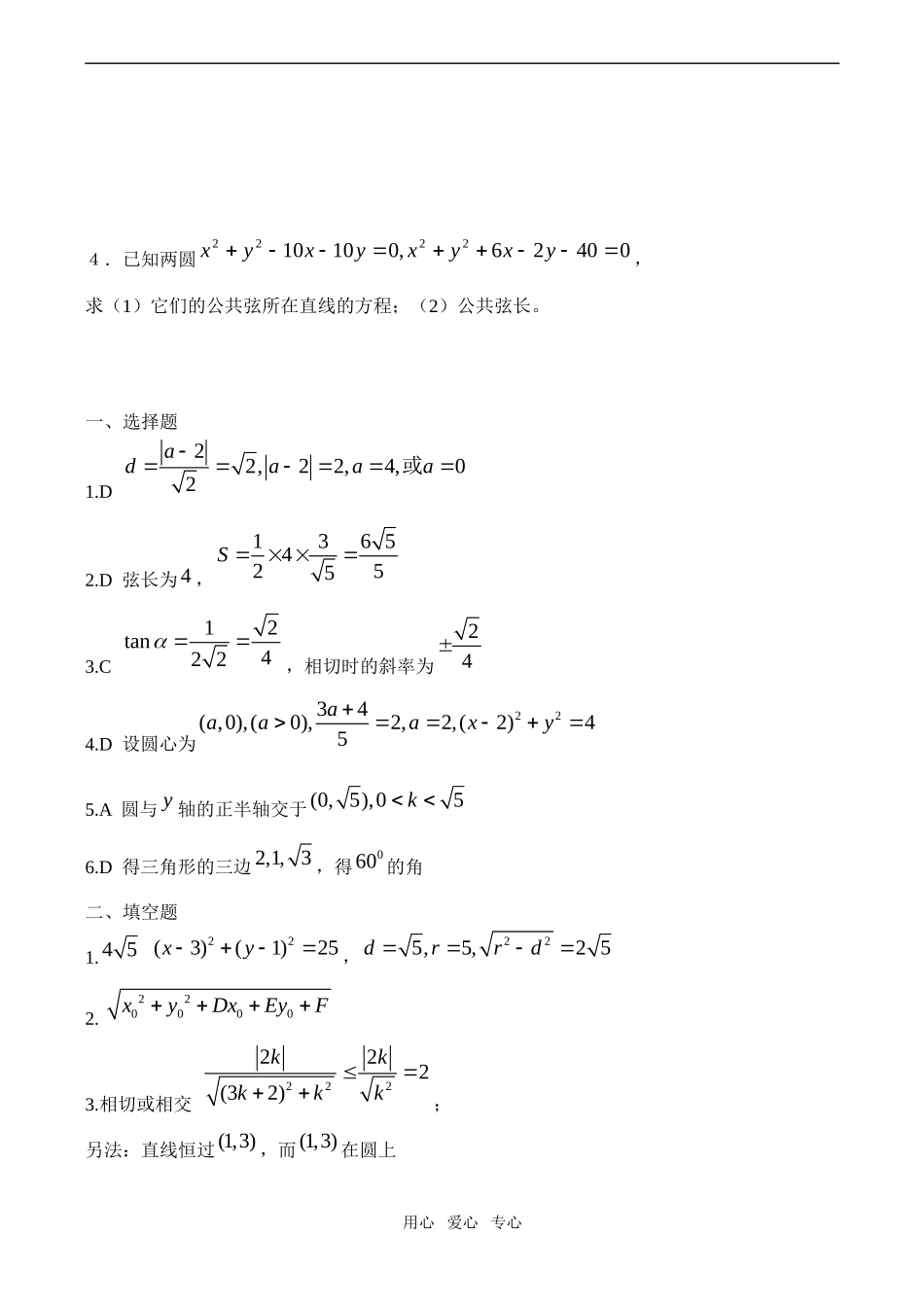
高一数学必修2第四章圆与方程综合训练一、选择题1.若直线2yx被圆4)(22yax所截得的弦长为22,则实数a的值为()A.1或3B.1或3C.2或6D.0或42.直线032yx与圆9)3()2(22yx交于,EF两点,则EOF(O是原点)的面积为()A.23B.43C.52D.5563.直线l过点),(02,l与圆xyx222有两个交点时,斜率k的取值范围是()A.),(2222B.),(22C.),(4242D.),(81814.已知圆C的半径为2,圆心在x轴的正半轴上,直线0443yx与圆C相切,则圆C的方程为()A.03222xyxB.0422xyxC.03222xyxD.0422xyx5.若过定点)0,1(M且斜率为k的直线与圆05422yxx在第一象限内的部分有交点,则k的取值范围是()A.50kB.05kC.130kD.50k用心爱心专心6.设直线l过点)0,2(,且与圆122yx相切,则l的斜率是()A.1B.21C.33D.3二、填空题1.直线20xy被曲线2262150xyxy所截得的弦长等于2.圆C:022FEyDxyx的外有一点00(,)Pxy,由点P向圆引切线的长______对于任意实数k,直线(32)20kxky与圆222220xyxy的位置关系是_________4.动圆222(42)24410xymxmymm的圆心的轨迹方程是.5.P为圆122yx上的动点,则点P到直线01043yx的距离的最小值为_______.三、解答题1.求过点(2,4)A向圆422yx所引的切线方程。2.求直线012yx被圆01222yyx所截得的弦长。3.已知实数yx,满足122yx,求12xy的取值范围。用心爱心专心4.已知两圆04026,010102222yxyxyxyx,求(1)它们的公共弦所在直线的方程;(2)公共弦长。一、选择题1.D22,22,4,02adaaa或2.D弦长为4,13654255S3.C12tan422,相切时的斜率为244.D设圆心为2234(,0),(0),2,2,(2)45aaaaxy5.A圆与y轴的正半轴交于(0,5),05k6.D得三角形的三边2,1,3,得060的角二、填空题1.4522(3)(1)25xy,225,5,25drrd2.220000xyDxEyF3.相切或相交222222(32)kkkkk;另法:直线恒过(1,3),而(1,3)在圆上用心爱心专心4.210,(1)xyx圆心为(21,),,(0)mmrmm,令21,xmym5.110115dr三、解答题1.解:显然2x为所求切线之一;另设4(2),420ykxkxyk而24232,,3410041kkxyk2x或34100xy为所求。2.解:圆心为(0,1),则圆心到直线012yx的距离为25,半径为2得弦长的一半为305,即弦长为2305。3.解:令(2),(1)ykx则k可看作圆122yx上的动点到点(1,2)的连线的斜率而相切时的斜率为34,2314yx。4.解:(1)2210100,xyxy①;2262400xyxy②;②①得:250xy为公共弦所在直线的方程;(2)弦长的一半为502030,公共弦长为230。用心爱心专心

1、当您付费下载文档后,您只拥有了使用权限,并不意味着购买了版权,文档只能用于自身使用,不得用于其他商业用途(如 [转卖]进行直接盈利或[编辑后售卖]进行间接盈利)。
2、本站所有内容均由合作方或网友上传,本站不对文档的完整性、权威性及其观点立场正确性做任何保证或承诺!文档内容仅供研究参考,付费前请自行鉴别。
3、如文档内容存在违规,或者侵犯商业秘密、侵犯著作权等,请点击“违规举报”。

碎片内容

高一数学必修2 第四章 圆与方程综合训练

您可能关注的文档

确认删除?
VIP
微信客服
  • 扫码咨询
会员Q群
  • 会员专属群点击这里加入QQ群
客服邮箱
回到顶部