电脑桌面
添加小米粒文库到电脑桌面
安装后可以在桌面快捷访问

高一数学 平面向量单元测验VIP免费

高一数学 平面向量单元测验_第1页
1/4
高一数学 平面向量单元测验_第2页
2/4
高一数学 平面向量单元测验_第3页
3/4
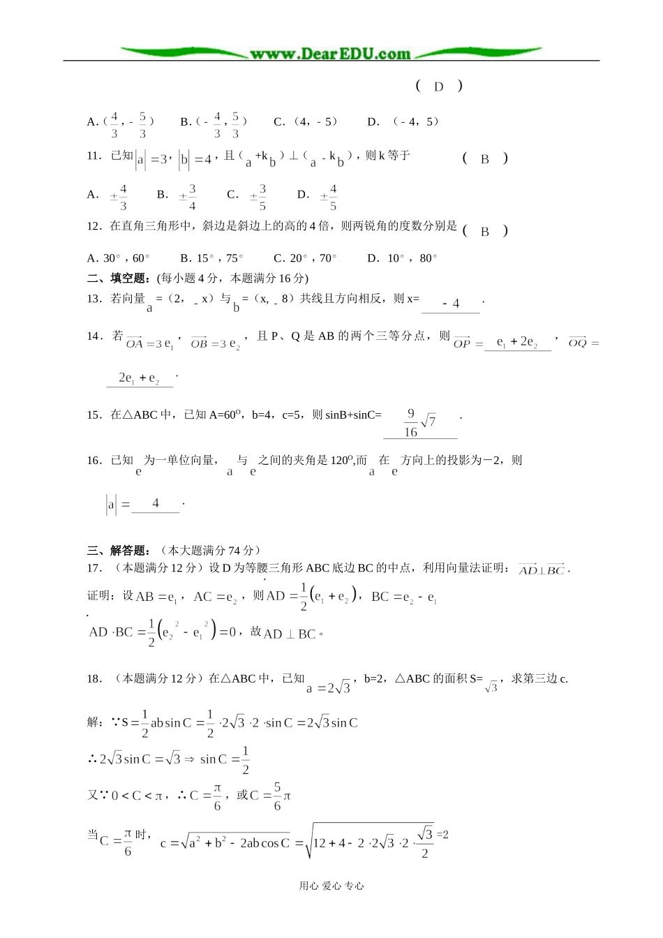
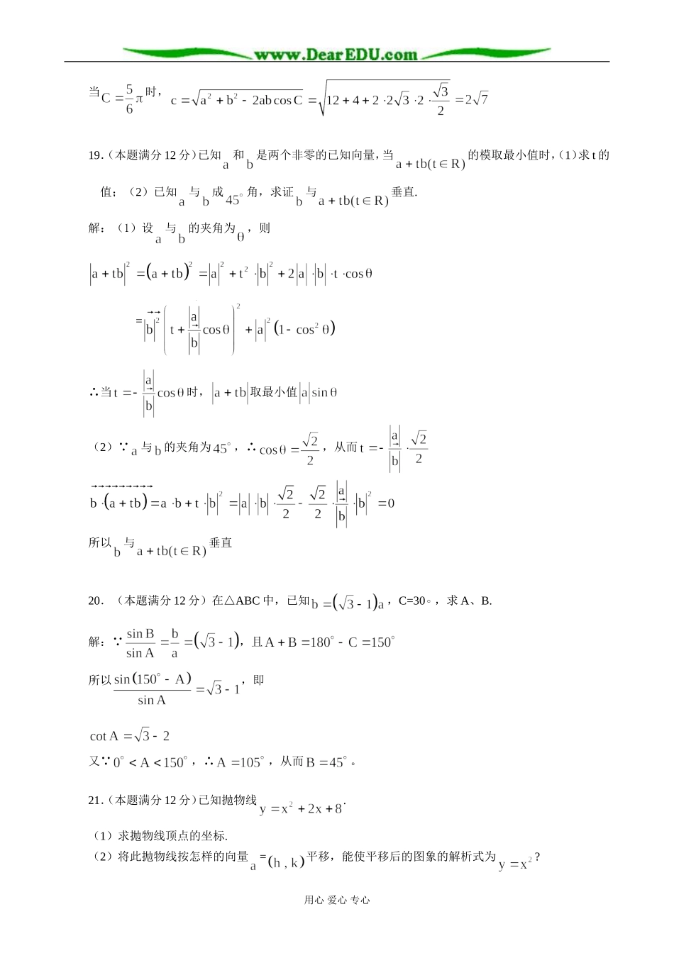
高一数学平面向量单元测验姓名一、选择题:(每小题5分,本题满分60分)1.在平行四边形ABCD中,等于A.B.C.D.2.已知=(2,1),=(1,3),则2+3等于A.(1,11)B.(1,11)C.(1,11)D.(1,11)3设P(3,6),Q(5,2),R的纵坐标为9,且P、Q、R三点共线,则R点的横坐标为A.9B.6C.9D.63.已知,,=3,则与的夹角是A.150B.120C.60D.304.下列命题中,不正确的是A.=B.λ()=(λ)C.()=D.与共线=5.若曲线按向量(h,k)平移后的曲线为y=f(x),则原曲线为A.y=f(xh)+kB.y=f(xh)kC.y=f(x+h)kD.y=f(x+h)+k6.在△ABC中,下列各式正确的是A.B.asinA=bsinBC.asinB=bsinAD.asinC=csinB7.在△ABC中,a2c2+b2=ab,则角C为A.60OB.45O或135OC.120OD.30O9.下列命题正确的个数是①②③④()=()A.1B.2C.3D.410.已知P1(2,3),P2(1,4),且,点P在线段P1P2的延长线上,则P点的坐标为用心爱心专心A.(,)B.(,)C.(4,5)D.(4,5)11.已知,,且(+k)⊥(k),则k等于A.B.C.D.12.在直角三角形中,斜边是斜边上的高的4倍,则两锐角的度数分别是A.30,60B.15,75C.20,70D.10,80二、填空题:(每小题4分,本题满分16分)13.若向量=(2,x)与=(x,8)共线且方向相反,则x=.14.若,,且P、Q是AB的两个三等分点,则,.15.在△ABC中,已知A=60O,b=4,c=5,则sinB+sinC=.16.已知为一单位向量,与之间的夹角是120O,而在方向上的投影为-2,则.三、解答题:(本大题满分74分)17.(本题满分12分)设D为等腰三角形ABC底边BC的中点,利用向量法证明:.证明:设,,则,,故。18.(本题满分12分)在△ABC中,已知,b=2,△ABC的面积S=,求第三边c.解:∵S∴又∵,∴,或当时,=2用心爱心专心当时,19.(本题满分12分)已知和是两个非零的已知向量,当的模取最小值时,(1)求t的值;(2)已知与成角,求证与垂直.解:(1)设与的夹角为,则=∴当时,取最小值(2)∵与的夹角为,∴,从而所以与垂直20.(本题满分12分)在△ABC中,已知,C=30,求A、B.解:∵,且所以,即又∵,∴,从而。21.(本题满分12分)已知抛物线.(1)求抛物线顶点的坐标.(2)将此抛物线按怎样的向量=平移,能使平移后的图象的解析式为?用心爱心专心解:(1)顶点坐标是(2)22.(本题满分14分)在⊿ABC中,设,,,(1)若⊿ABC为正三角形,求证:;(2)若成立,⊿ABC是否为正三角形.证明:(1)设,则由与,与,与的夹角均为得:。(2)若成立,则∴,由正弦定理得。两式两边分别相乘得,又∵,∴。解法二:依题意有代入得同理,所以三角形ABC是等边三角形。用心爱心专心

1、当您付费下载文档后,您只拥有了使用权限,并不意味着购买了版权,文档只能用于自身使用,不得用于其他商业用途(如 [转卖]进行直接盈利或[编辑后售卖]进行间接盈利)。
2、本站所有内容均由合作方或网友上传,本站不对文档的完整性、权威性及其观点立场正确性做任何保证或承诺!文档内容仅供研究参考,付费前请自行鉴别。
3、如文档内容存在违规,或者侵犯商业秘密、侵犯著作权等,请点击“违规举报”。

碎片内容

高一数学 平面向量单元测验

您可能关注的文档

确认删除?
VIP
微信客服
  • 扫码咨询
会员Q群
  • 会员专属群点击这里加入QQ群
客服邮箱
回到顶部