电脑桌面
添加小米粒文库到电脑桌面
安装后可以在桌面快捷访问

北京四中高考数学总复习 平面向量的数量积及应用提高巩固练习VIP免费

北京四中高考数学总复习 平面向量的数量积及应用提高巩固练习_第1页
1/5
北京四中高考数学总复习 平面向量的数量积及应用提高巩固练习_第2页
2/5
北京四中高考数学总复习 平面向量的数量积及应用提高巩固练习_第3页
3/5
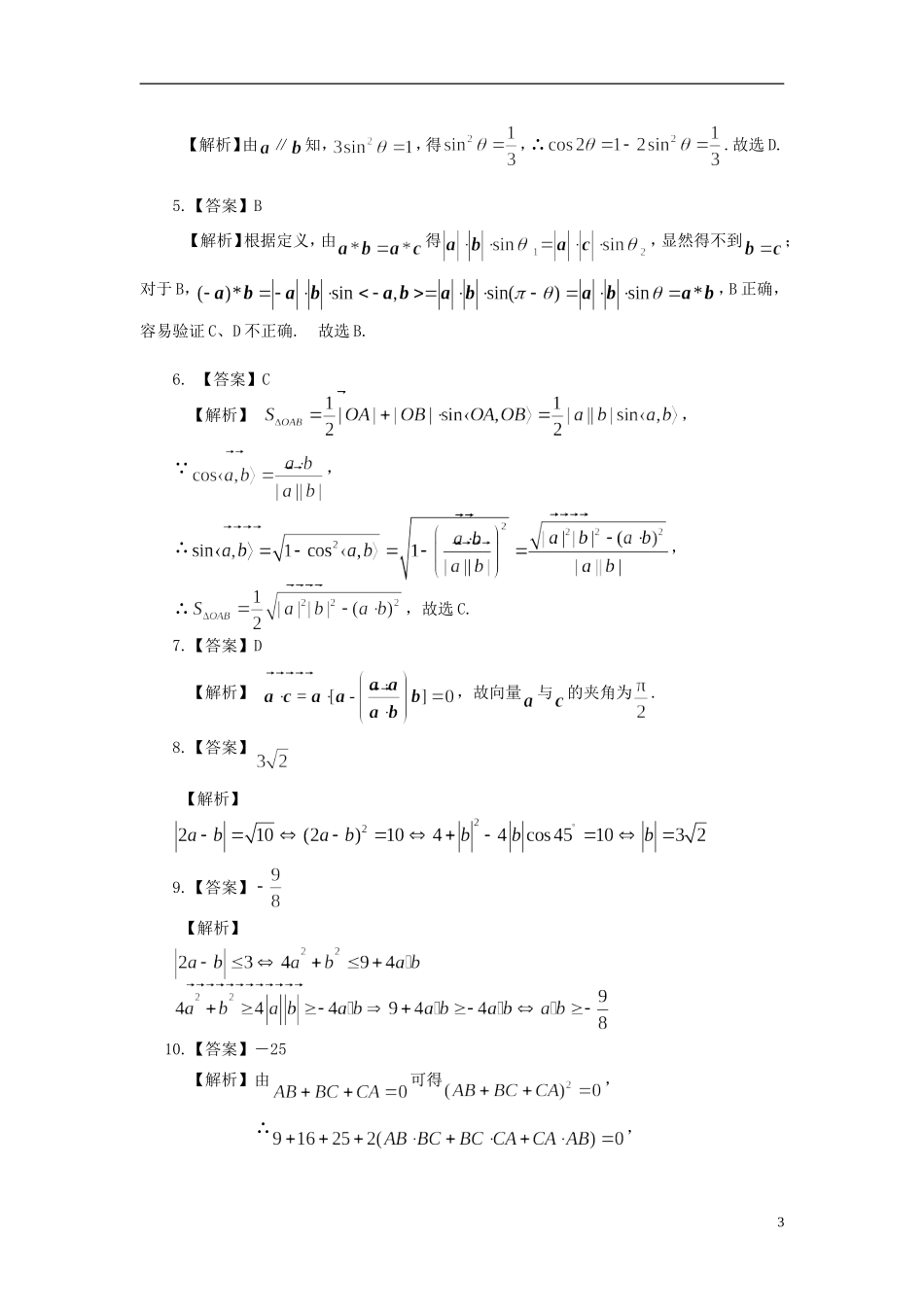
北京四中高考数学总复习平面向量的数量积及应用提高巩固练习一、选择题1.若,,且,则实数k=()。A.B.C.或D.非以上答案2.平面向量与的夹角为60°,=(2,0),,则()A.B.C.4D.123.在△OAB中,已知OA=4,OB=2,点P是AB的垂直平分线上的任一点,则()A.6B.―6C.12D.―124.设向量=(1,sin),=(3sin,1)且∥,则cos2等于()A.B.C.D.5.对于非零向量,,定义运算“*”:,其中为,的夹角,有两两不共线的三个向量、、,下列结论正确的是()A.若,则B.C.D.6.平面上O,A,B三点不共线,设,,则△OAB的面积等于()A.B.C.D.7.若向量与不共线,,且,则向量与的夹角为()A.0B.C.D.二、填空题8.已知向量夹角为,且;则9.若平面向量满足:;则的最小值是10.若平面上三点A、B、C满足,,,则1的值等于________11.平面上有三个点A(―2,y),,C(x,y),若,则动点C的轨迹方程为________三、解答题12.已知|a|=,|b|=1,a与b的夹角为45°,求使向量(2a+λb)与(λa-3b)的夹角是锐角的λ的取值范围.13.已知,是夹角为的两个单位向量,,,若,求实数k的值.14.在平面直角坐标系xOy中,已知点A(―1,―2),B(2,3),C(―2,―1)。(1)求以线段AB、AC为邻边平行的四边形的两条对角线的长;(2)设实数t满足,求t的值.15.在△ABC中,设A、B、C的对边分别为a、b、c,向量=(cosA,sinA),,若,(1)求角A的大小;(2)若,且,求△ABC的面积.【参考答案与解析】1.【答案】B【解析】∵,∴即,∴,故2.【答案】B【解析】∵,∴=4+4×2×1×cos60°+4×12=12,∴.3.【答案】B【解析】B设AB的中点为M,则.故选B.4.【答案】D2【解析】由∥知,,得,∴.故选D.5.【答案】B【解析】根据定义,由得,显然得不到;对于B,,B正确,容易验证C、D不正确.故选B.6.【答案】C【解析】,∵,∴,∴,故选C.7.【答案】D【解析】,故向量与的夹角为.8.【答案】【解析】9.【答案】【解析】10.【答案】―25【解析】由可得,∴,3即11.【答案】y2=8x【解析】由题意得,,又,,即,化简得y2=8x.12.【解析】由|a|=,|b|=1,a与b的夹角为45°,则a·b=|a||b|cos45°=×1×=1.而(2a+λb)·(λa-3b)=2λa2-6a·b+λ2a·b-3λb2=λ2+λ-6.设向量(2a+λb)与(λa-3b)的夹角为θ,则cosθ=,且cosθ≠1,∴(2a+λb)·(λa-3b)>0,∴λ2+λ-6>0,∴λ>2或λ<-3.假设cosθ=1,则2a+λb=k(λa-3b)(k>0),∴解得k2=.故使向量2a+λb和λa-3b夹角为0°的λ不存在.所以当λ>2或λ<-3时,向量(2a+λb)与(λa-3b)的夹角是锐角.13.【解析】由题意即有,∴,又,,∴,∴,∴.14.【解析】(1)由题设知,,则,,所以,。4故所求的两条对角线长分别为,。(2)由题设知,.由,得(3+2t,5+t)·(―2,―1)=0,所以5t=―11,所以.15.【解析】(1),,,∴。∵,∴,∴tanA=1.∵0<A<π,∴.(2)由余弦定理,,又由,,,得,即,解得,∴c=8,∴.5

1、当您付费下载文档后,您只拥有了使用权限,并不意味着购买了版权,文档只能用于自身使用,不得用于其他商业用途(如 [转卖]进行直接盈利或[编辑后售卖]进行间接盈利)。
2、本站所有内容均由合作方或网友上传,本站不对文档的完整性、权威性及其观点立场正确性做任何保证或承诺!文档内容仅供研究参考,付费前请自行鉴别。
3、如文档内容存在违规,或者侵犯商业秘密、侵犯著作权等,请点击“违规举报”。

碎片内容

北京四中高考数学总复习 平面向量的数量积及应用提高巩固练习

雨丝书吧+ 关注
实名认证
内容提供者

乐于和他人分享知识,从事历史教学,热爱教育,高度负责。

确认删除?
VIP
微信客服
  • 扫码咨询
会员Q群
  • 会员专属群点击这里加入QQ群
客服邮箱
回到顶部