电脑桌面
添加小米粒文库到电脑桌面
安装后可以在桌面快捷访问

北京四中高考数学总复习 不等式与不等关系巩固练习VIP免费

北京四中高考数学总复习 不等式与不等关系巩固练习_第1页
1/5
北京四中高考数学总复习 不等式与不等关系巩固练习_第2页
2/5
北京四中高考数学总复习 不等式与不等关系巩固练习_第3页
3/5
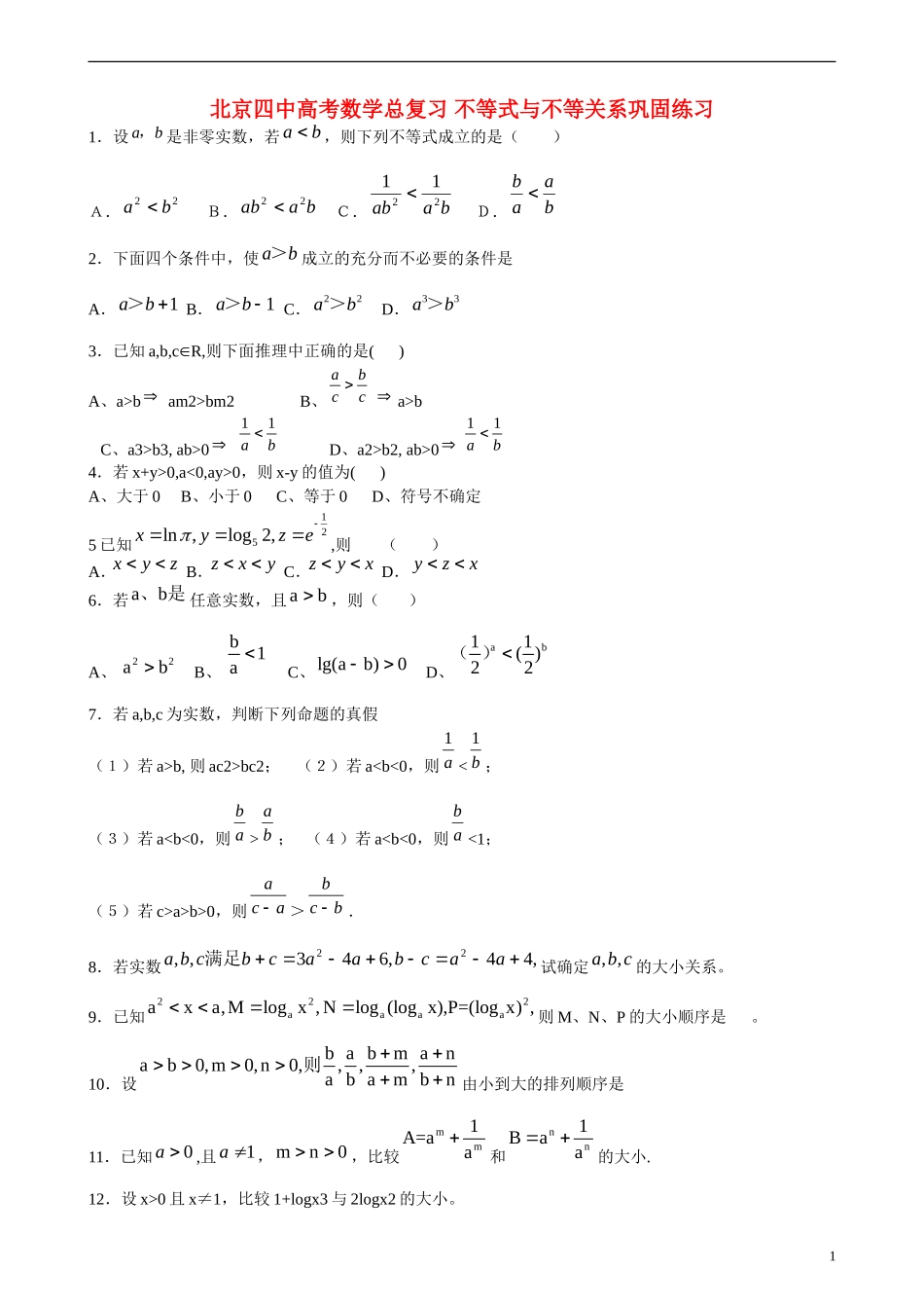
北京四中高考数学总复习不等式与不等关系巩固练习1.设ab,是非零实数,若ba,则下列不等式成立的是()A.22baB.baab22C.baab2211D.baab2.下面四个条件中,使ab>成立的充分而不必要的条件是A.1ab>B.1ab>C.22ab>D.33ab>3.已知a,b,cR,则下面推理中正确的是()A、a>bam2>bm2B、cbcaa>bC、a3>b3,ab>0ba11D、a2>b2,ab>0ba114.若x+y>0,a<0,ay>0,则x-y的值为()A、大于0B、小于0C、等于0D、符号不确定5已知125ln,log2,xyze,则()A.xyzB.zxyC.zyxD.yzx6.若ab、是任意实数,且ab,则()A、22abB、b1aC、lg(ab)0D、ab11()22()7.若a,b,c为实数,判断下列命题的真假(1)若a>b,则ac2>bc2;(2)若aba;(4)若aa>b>0,则aca>bcb.8.若实数,44,643,,22aacbaacbcba满足试确定cba,,的大小关系。9.已知222aaaaaxa,Mlogx,Nlog(logx),P=(logx),则M、N、P的大小顺序是。10.设babmanab0,m0,n0,,,,abambn则由小到大的排列顺序是11.已知0a,且1a,mn0,比较mm1A=aa和nn1Baa的大小.12.设x>0且x≠1,比较1+logx3与2logx2的大小。113、已知cbaRcba且,,,,试比较abccaaccbbcbaab6)()()(与的大小。14、设实数812log)(log:,10,,2ayxaaaaxyyx求证满足15、已知的取值范围求bababa23,31,51【参考答案与解析】1.【答案】C【解析】A中,若3a,1b,则29a,21b,故A不成立;B中,若3a,1b,满足ba,得到22abab,故B不成立;C中,因为ab,是非零实数即220ab,且ba,所以2222ababab,即baab2211成立;D中,若1a,3b,则3ba,13ab,所以baab不成立。2、【答案】A【解析】即寻找命题P使baP,ba推不出P,逐项验证可选A3、【答案】C【解析】用淘汰法。(A)中若m=0不成立;(B)中若c<0,不成立;(C)中a3-b3>0(a-b)(a2+ab+b2)>0。 a2+ab+b2>0恒成立,故a-b>0。∴a>b,又 ab>0,∴a1b2(a+b)(a-b)>0,不能说明a>b,故本题应选(C)。4、【答案】A【解析】用直接法。 a<0,ay>0y<0,又 x+y>0x>0,∴x-y=x+(-y)>0。故本题应选(A)。5、【答案】D【解析】lnln1e,551log2log52,1211124zee,故选答案D.6、【答案】D【解析】 a>b且y=x21为单减函数,故ba2121<,故选D,因不知道a,b的正负,故可排除A、B、C选项。7、【解析】2(1) c2≥0,当c=0时ac2=bc2=0,故原命题为假命题。(2)举特例-2<-1<0但-21>-1,故原命题为假命题。(3)由于a|b|>0,∴||||ab<1,∴ab<1,故原命题为真命题.(5) c>a>b>0,∴acba,∴c-b>c-a>0,∴ac1>bc1>0,又 a>b>0,∴aca>bcb,故原命题为真命题.8.【解析】由已知2(2)0bcabc,222346144bcaacabcaa由∴22131()024caaaaca综上所述,acb9.【解析】2axa,2aa,0a1,20axa1,a1logx<2aaNlog(logx)0,22aaaaP-M=(logx)logxlogx(logx2)0MPN10.【解析】特殊值法:对a、b、m、n分别取特殊值,比如:a=4,b=3,m=2,n=1,代入比较即得bbmanaaambnb.11.【解析】mnmnmnmnmnmnmn1111(aa)(a1)AB=a)(a)(aa)()aaaaa(,mna0a0当1a时,m>n>0,mnaa,mn0aa1,AB0即AB.当01a时,mnaa,mn0aa1,AB0即AB3综上AB.12.【解析】作差:(1log3)2log2xx3log3log4log4xxxxx(1)当143010xx,即0

1、当您付费下载文档后,您只拥有了使用权限,并不意味着购买了版权,文档只能用于自身使用,不得用于其他商业用途(如 [转卖]进行直接盈利或[编辑后售卖]进行间接盈利)。
2、本站所有内容均由合作方或网友上传,本站不对文档的完整性、权威性及其观点立场正确性做任何保证或承诺!文档内容仅供研究参考,付费前请自行鉴别。
3、如文档内容存在违规,或者侵犯商业秘密、侵犯著作权等,请点击“违规举报”。

碎片内容

北京四中高考数学总复习 不等式与不等关系巩固练习

雨丝书吧+ 关注
实名认证
内容提供者

乐于和他人分享知识,从事历史教学,热爱教育,高度负责。

确认删除?
微信客服
  • 扫码咨询
会员Q群
  • 会员专属群点击这里加入QQ群