电脑桌面
添加小米粒文库到电脑桌面
安装后可以在桌面快捷访问

天津大学最优化历年试题VIP专享VIP免费

天津大学最优化历年试题_第1页
1/5
天津大学最优化历年试题_第2页
2/5
天津大学最优化历年试题_第3页
3/5
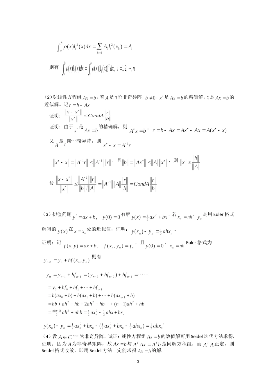
2003—2008《工程与科学计算》历届试题类型1.直解法例1.用列主元素消去解下列线性方程组(结果保留5位小数)例2.设线性方程组,其中求,并分析线性方程组是否病态?2.迭代法例1.设线性方程组为,写出求解线性方程组的Jacobi迭代格式,并确定当取何值时Jacobi迭代格式收敛.例2.写出求解线性方程组的Seidel迭代格式,并判断所写格式的收敛性,其中为3.插值例1.已知(1)试用二次插值多项式计算的近似值(数据保留至小数点后第5位)(2)估计所得结果的截断误差(数据保留至小数点后第5位)例2.由下列插值条件1246741011求4次Newton插值多项式,并写出插值余项.4.Runge—Kutta格式例写出标准方法解初值问题的计算格式5.代数精度例1.数值求积公式形如1试确定其中参数使其代数精度尽量高,并确定代数精度.例2.验证数值求积公式是Gauss型求积公式.6.Romberg方法例对积分,用Romberg方法计算积分的近似值,误差不超过并将结果填入下表(结果保留至小数点后第五位).012347.证明(1)设为上关于权函数的次正交多项式,以的零点为节点建立插值基函数,证明:证明:设n次正交多项式的零点为,则以这n个零点为节点建立的插值基函数是n-1次多项式,是2n-2次多项式.故当取和时Gauss型求积公式等号成立,即2则有(2)对线性方程组,若是阶非奇异阵,,是的精确解,是的近似解。记证明:证明:由于是的精确解,则,又是阶非奇异阵,则,且,则故(3)初值问题有解,若,是用Euler格式解得的在处的近似值,证明:.证明:记,且,Euler格式为则有.(4)设为非奇异阵,试证:线性方程组的数值解可用Seidel迭代方法求得.证明:因为为非奇异矩阵,故与是同解方程组,而正定,则Seidel格式收敛,即用Seidel方法一定能求得的解.3(5)试导出求解初值问题的梯形格式,并证明用梯形格式解初值问题所得数值解为证明将在上积分,得将右端的积分用梯形公式计算其近似值,并用分别代替,得将代入梯形公式得,则有得因为,得.(6)设,证明证明:的二次Lagrange插值多项式及余项形式为其二阶导数为注意到,有4即(7)证明求积公式是稳定的.(8)设初值问题中的区域D上关于满足Lipschitz条件,证明:格式是收敛的.倒数第三题,求A0、A1、A2参数的那道题,前面积分限是0到1,而后面求积公式的第一个求积节点居然小于0!(1/2-根号3/5),在积分限之外。5

1、当您付费下载文档后,您只拥有了使用权限,并不意味着购买了版权,文档只能用于自身使用,不得用于其他商业用途(如 [转卖]进行直接盈利或[编辑后售卖]进行间接盈利)。
2、本站所有内容均由合作方或网友上传,本站不对文档的完整性、权威性及其观点立场正确性做任何保证或承诺!文档内容仅供研究参考,付费前请自行鉴别。
3、如文档内容存在违规,或者侵犯商业秘密、侵犯著作权等,请点击“违规举报”。

碎片内容

天津大学最优化历年试题

确认删除?
VIP
微信客服
  • 扫码咨询
会员Q群
  • 会员专属群点击这里加入QQ群
客服邮箱
回到顶部