电脑桌面
添加小米粒文库到电脑桌面
安装后可以在桌面快捷访问

表面反应动力学VIP免费

表面反应动力学_第1页
1/5
表面反应动力学_第2页
2/5
表面反应动力学_第3页
3/5
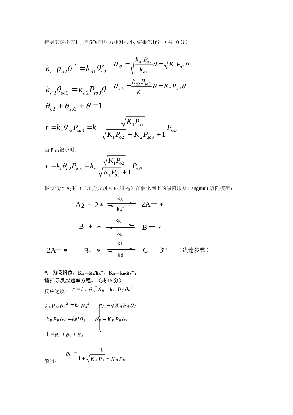
表面反应动力学1、假设气体A和B(压力分别为PA和PB)在催化剂上的吸附服从Langmuir吸附模型,反应生成气体M和N(压力分别为PM和PN),表面反应为控制步骤,其余均达平衡:A+BM+N*:为吸附位,KA=ka1/kd1,KB=ka2/kd2,KM=kd3/ka3,KN=kd4/ka4请推导反应速率方程。(共10分)反应速度:ka1*PA*θ=kd1*θAka2*PB*θ=kd2*θBka3*PM*θ=kd3*θMka4*PN*θ=kd4*θNθ+θA+θB+θM+θN=1,,2、简述固体催化剂上氧化还原反应的机理。以1-丁烯氧化脱氢制丁二烯为例,画出其催化循环示意图。(共15分)所用催化剂为MoO3/Bi2O3混合氧化物,反应由下列各步组成:①CH3-CH2-CH2=CH2+2Mo6++O2-(晶格)CH2=CH2-CH2=CH2+2Mo5++H2O②2Bi3++2Mo5+2Bi2++2Mo6+③2Bi2++1/2O22Bi3++O2-(晶格)总反应为:CH3-CH2-CH2=CH2+1/2O2CH2=CH2-CH2=CH2+H2O固体催化剂上的氧化还原反应可分为:1)自由基机理:反应物在催化剂的作用下形成自由基,然后发生自由基的传递,最后自由基湮灭,反应终止。催化剂存在可加快自由基的引发速度;同时提高反应的选择性。2)氧化还原机理反应物在催化剂表面发生氧化-还原反应:反应物在催化剂表面首先被氧化,催化剂本身发生还原反应;催化剂被反应气氛中的氧再氧化为原来的状态,从而形成氧化-还原的循环。对这类催化剂,要求其能够吸附反应物分子,同时还要求其能吸附气态氧,并使其转化为晶格氧。OMoBiO+6+3CH2=CH-CH2-CH3CH2=CH-CH=CH2H2OOMoBi+5+3OMoBi+6+2OO2ORMoO2-+6Mo+5O2CH2=CH-CH=CH2CH2=CH-CH2-CH3Bi+3Bi+23、设SO2在Pt/Al2O3上的氧化反应符合Rideal机理,包括以下三个步骤:ka1⑴O2+2*======2O-*kd1kr⑵O-*+SO2──→SO3-*(控制步骤)kd2⑶SO3-*=======SO3+*ka2推导其速率方程,若SO3的压力相对很小,结果怎样?(共10分)221221odoakpk,211212odoaoPKkPk3232soasodPkk,322323sodsoasoPKkPk132soo3322121321sosooorsoorPPKPKPKkPkr当PSO3很小时:32121321sooorsoorPPKPKkPkr假设气体A2和B(压力分别为PA和PB)在催化剂上的吸附服从Langmuir吸附模型:kd++*2A*B-C3***2AA2+2*+B*BkAkBkA-kB-kr(决速步骤)*:为吸附位,KA=kA/kA-,KB=kB/kB-。请推导反应速率方程。(共15分)反应速度:32VCrBArPkkr22'2AAVAAkPkVAAAPK'BBVBBkPkVBBBPKAVB1解得:PKPKBBAAV11)1()1()(2222223333232BBAAcBABBAACrBBAArVCrBBAArVCrVBBVAArVCrBArPKPKKPPPkPKPKPkPKPKkPkPKPKkPkPKPKkPkkr4、多相催化反应的基本步骤:1)反应物分子从气流中向催化剂表面(外扩散)和孔内扩散(内扩散);2)反应物分子在催化剂内表面上吸附(反应物的化学吸附);3)吸附的反应物分子在催化剂表面上相互作用或与气相分子作用进行化学反应(吸附分子的表面反应或转化);4)反应产物从催化剂内表面脱附(产物的脱附或解吸);5)反应物在孔内扩散(内扩散)并扩散到反应气流中(外扩散)。动力学研究1、判断反应是动力学控制还是扩散控制:在过程中,吸附、表面反应、脱附的速度制约整个反应的速度时,反应为动力学控制,由反应物或产物的扩散的速度制约整个反应的速度时,反应为扩散控制。2、温度对于化学过程影响较大;对于物理过程影响较小。通过改变温度来判断反应的控制步骤是化学过程还是扩散过程。3、气流线速对化学过程影响较小;对物理过程(外扩散)影响较大。通过改变反应气流速(空速)来判断。催化剂粒度对内扩散影响明显,对外扩散、化学反应的影响较小。催化剂的孔径越大对内扩散的影响越小。4、外扩散控制消除:增大空速/提高物料的线速内扩散控制消除:减小催化剂粒径,增大孔径。5、简述多相催化反应的基本步骤,如何判断反应是动力学控制还是扩散控制?如何消除外扩散和内扩散的影响?多相催化反应的基本步骤:1)反应物分子从气流中向催化剂表面(外扩散)和孔内扩散(内扩散);2)反应物分子在催化剂内表面上吸附(反应物的化学吸附);3)吸附的反...

1、当您付费下载文档后,您只拥有了使用权限,并不意味着购买了版权,文档只能用于自身使用,不得用于其他商业用途(如 [转卖]进行直接盈利或[编辑后售卖]进行间接盈利)。
2、本站所有内容均由合作方或网友上传,本站不对文档的完整性、权威性及其观点立场正确性做任何保证或承诺!文档内容仅供研究参考,付费前请自行鉴别。
3、如文档内容存在违规,或者侵犯商业秘密、侵犯著作权等,请点击“违规举报”。

碎片内容

表面反应动力学

墨香书阁+ 关注
实名认证
内容提供者

热爱教学事业,对互联网知识分享很感兴趣

确认删除?
VIP
微信客服
  • 扫码咨询
会员Q群
  • 会员专属群点击这里加入QQ群
客服邮箱
回到顶部