电脑桌面
添加小米粒文库到电脑桌面
安装后可以在桌面快捷访问

电动力学课后答案VIP免费

电动力学课后答案_第1页
1/5
电动力学课后答案_第2页
2/5
电动力学课后答案_第3页
3/5
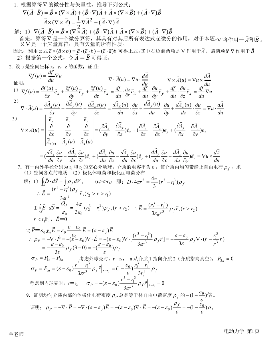
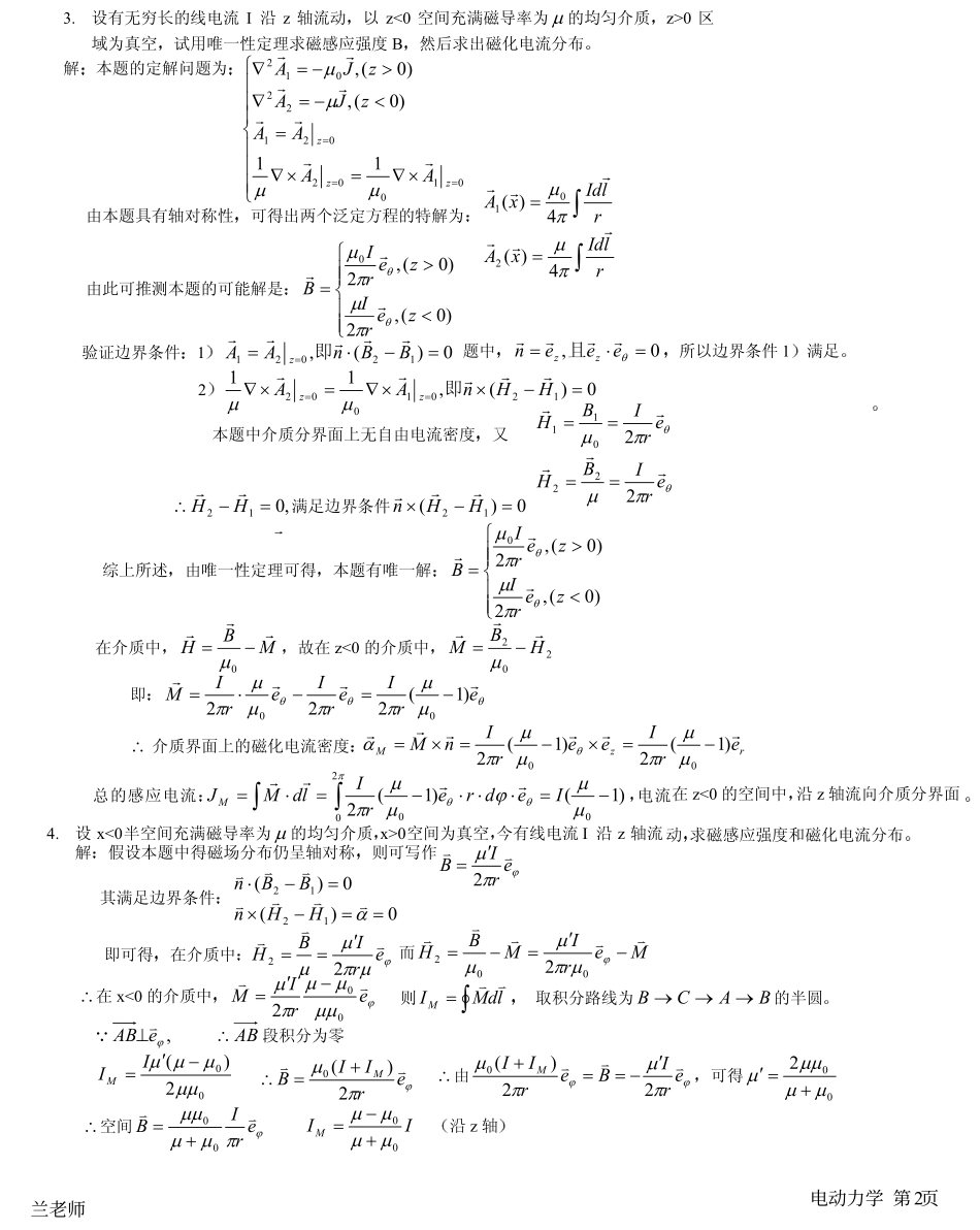
1.根据算符∇的微分性与矢量性推导下列公式BABAABABBArrrrrrrrrr)()()()()(∇⋅+×∇×+∇⋅+×∇×=⋅∇AAAAArrrrr)(21)(2∇⋅−∇=×∇×解1BABAABABBAvvvvvvvvvv)()()()()(∇⋅+×∇×+∇⋅+×∇×=⋅∇首先算符∇是一个微分算符其具有对其后所有表达式起微分的作用对于本题∇将作用于BAvv和又∇是一个矢量算符具有矢量的所有性质因此利用公式bacbcabacvvvvvvvvv)()()(⋅−⋅⋅=××可得上式其中右边前两项是∇作用于Av后两项是∇作用于Bv2根据第一个公式令AvBv可得证2.设u是空间坐标xyz的函数证明.)()()(duAduuAduAduuAududfufrrrr×∇=×∇⋅∇=⋅∇∇=∇证明1ududfezududfeyududfedudfezufeyufexufufzyxxuzyx∇=∂∂⋅+∂∂⋅+⋅=∂∂+∂∂+∂∂=∇∂∂rrrrrr)()()()(2duAduzudzuAdyuduuAdxuduuAdzuzAyuAxuAuAzyxzyxrrrrrrrr⋅∇=∂∂⋅+∂∂⋅+∂∂⋅=∂∂+∂∂+∂∂=⋅∇)()()()()()()(3−−−∂∂−∂∂+∂∂−∂∂+∂∂−∂∂=∂∂∂∂∂∂=×∇zxyyzxxyzzyuxzyxeyAxAexAzAezAyAuAuAAzyxeeeuArrrrrrrrrrrrrrrr)()()()()()()(duAdueyuduAdxuduAdexuduAdzuduAdezuduAdyuduAdzxyyzxxyzrrrrrrrrrr×∇=∂∂−∂∂+∂∂−∂∂+∂∂−∂∂=)()()(7有一内外半径分别为r1和r2的空心介质球介质的电容率为ε使介质内均匀带静止自由电荷fρ求1空间各点的电场2极化体电荷和极化面电荷分布解1∫∫=⋅dVSdDfSρrr,(r2>r>r1)frrrDρππ)(3443132−=⋅即)(,3)(123313rrrrrrrEf>>−=∴rrερ由)(,)(342313200rrrrQSdEffS>−==⋅∫ρεπεrr)(,3)(2303132rrrrrrEf>−=∴rrρε01时Errr<2)EEEPerrrr)(00000εεεεεεχε−=−=)(3]3)([)()(3310331300rrrrrrrrEPffPrrrrr−⋅∇−−=−⋅∇−−=⋅∇−−=⋅−∇=∴ρεεερεεεεερffρεεερεεε)()03(300−−=−−−=nnPPP21−=σ考虑外球壳时rr2n从介质1指向介质2介质指向真空02=nPfrrfnPrrrrrrrPρεερεεεσ32313203313013)1(3)(2−−=−−===r考虑到内球壳时rr203)(133130=−−−==rrfPrrrrrρεεεσ9证明均匀介质内部的体极化电荷密度Pρ总是等于体自由电荷密度fρ的倍)1(0εε−−证明ffPEEPρεεερεεεεεερ)1()()()(0000−−=−−=⋅∇−−=−⋅−∇=⋅−∇=rrr电动力学第页1兰老师3.设有无穷长的线电流I沿z轴流动以z<0空间充满磁导率为µ的均匀介质z>0区域为真空试用唯一性定理求磁感应强度B然后求出磁化电流分布解本题的定解问题为×∇=×∇=<−=∇>−=∇===010020212201211)0(,)0(,zzzAAAAzJAzJArrrrrrrrµµµµ由本题具有轴对称性可得出两个泛定方程的特解为∫∫==rlIdxArlIdxArrrrrrπµπµ4)(4)(201由此可推测本题的可能解是<>=)0(,2)0(,20zerIzerIBθθπµπµrrr验证边界条件10)(,12021=−⋅==BBnAAzrrrrr即题中0,=⋅=θeeenzzrrrr且所以边界条件1满足20)(,111201002=−××∇=×∇==HHnAAzzrrrrr即µµ本题中介质分界面上无自由电流密度又θθπµπµerIBHerIBHrrrrrr2222011====,012=−∴HHrr满足边界条件0)(12=−×HHnrrr综上所述由唯一性定理可得本题有唯一解<>=)0(,2)0(,20zerIzerIBθθπµπµrrr在介质中MBHrrr−=0µ故在z<0的介质中202HBMrrr−=µ即θθθµµππµµπerIerIerIMrrrr)1(22200−=−⋅=∴介质界面上的磁化电流密度rzMerIeerInMrrrrrr)1(2)1(200−=×−=×=µµπµµπαθ总的感应电流)1()1(20200−=⋅⋅⋅−=⋅=∫∫µµϕµµππθθIedrerIldMJMrrrr电流在z<0的空间中沿z轴流向介质分界面4.设x<0半空间充满磁导率为µ的均匀介质x>0空间为真空今有线电流I沿z轴流动求磁感应强度和磁化电流分布解假设本题中得磁场分布仍呈轴对称则可写作ϕπµerIBvv2′=其满足边界条件0)(0)(1212==−×=−⋅αvvvvvvvHHnBBn即可得在介质中ϕµπµµerIBHvvv22′==而MerIMBHvvvvv−′=−=ϕµπµµ0022∴在x<0的介质中ϕµµµµπµerIMvv002−′=则∫=ldMIMvv取积分路线为BACB→→→的半圆,ϕeABvQ⊥AB∴段积分为零002)(µµµµµ−′=IIMϕπµerIIBMvv2)(0+=∴∴由ϕϕπµπµerIBerIIMvvv22)(0′−==+可得002µµµ...

1、当您付费下载文档后,您只拥有了使用权限,并不意味着购买了版权,文档只能用于自身使用,不得用于其他商业用途(如 [转卖]进行直接盈利或[编辑后售卖]进行间接盈利)。
2、本站所有内容均由合作方或网友上传,本站不对文档的完整性、权威性及其观点立场正确性做任何保证或承诺!文档内容仅供研究参考,付费前请自行鉴别。
3、如文档内容存在违规,或者侵犯商业秘密、侵犯著作权等,请点击“违规举报”。

碎片内容

电动力学课后答案

您可能关注的文档

确认删除?
VIP
微信客服
  • 扫码咨询
会员Q群
  • 会员专属群点击这里加入QQ群
客服邮箱
回到顶部