电脑桌面
添加小米粒文库到电脑桌面
安装后可以在桌面快捷访问

高二数学下6.1 不等式的性质3教案VIP免费

高二数学下6.1  不等式的性质3教案_第1页
1/5
高二数学下6.1  不等式的性质3教案_第2页
2/5
高二数学下6.1  不等式的性质3教案_第3页
3/5
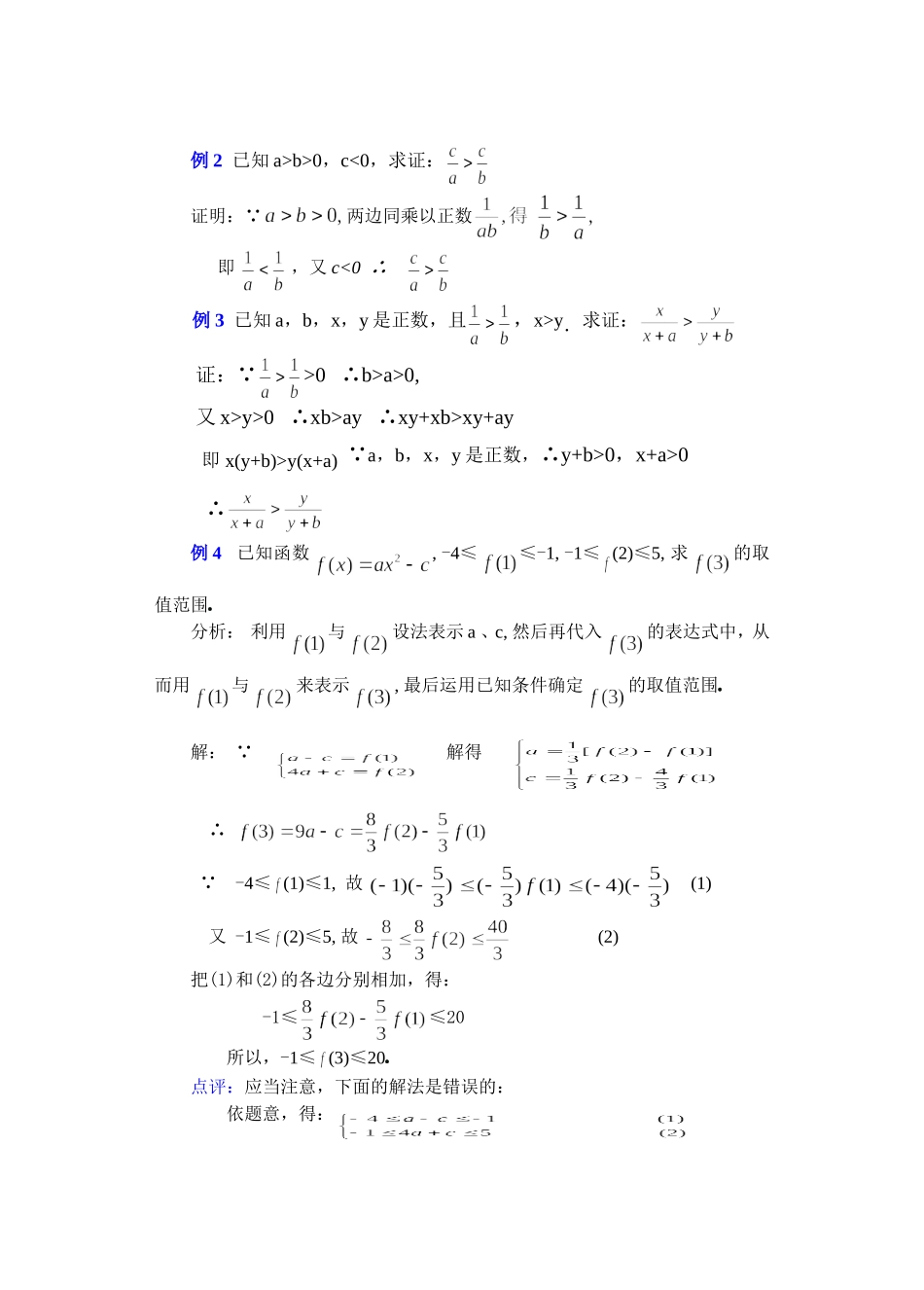
课题:不等式的性质(3)教学目的:1.熟练掌握定理1,2,3的应用;2.掌握并会证明定理4及其推论1,2;3.掌握反证法证明定理5奎屯王新敞新疆教学重点:定理4,5的证明奎屯王新敞新疆教学难点:定理4的应用奎屯王新敞新疆授课类型:新授课课时安排:1课时教具:多媒体、实物投影仪教学过程:一、复习引入:1.同向不等式:两个不等号方向相同的不等式,例如:a>b,c>d,是同向不等式奎屯王新敞新疆异向不等式:两个不等号方向相反的不等式奎屯王新敞新疆例如:a>b,cb,那么bb.(对称性)即:a>bbb定理2:如果a>b,且b>c,那么a>c.(传递性)即a>b,b>ca>c定理3:如果a>b,那么a+c>b+c.即a>ba+c>b+c推论:如果a>b,且c>d,那么a+c>b+d.(相加法则)即a>b,c>da+c>b+d.二、讲解新课:定理4:如果a>b,且c>0,那么ac>bc;如果a>b,且c<0,那么acb∴a-b>0当c>0时,(a-b)c>0即ac>bc.当c<0时,(a-b)c<0即acb,c>d是否一定能得出ac>bd?(举例说明)能否加强条件得出ac>bd呢?(引导学生探索,得出推论).推论1如果a>b>0,且c>d>0,那么ac>bd.(相乘法则)证明:①又∴②由①、②可得奎屯王新敞新疆说明:(1)上述证明是两次运用定理4,再用定理2证出的;(2)所有的字母都表示正数,如果仅有,就推不出的结论奎屯王新敞新疆(3)这一推论可以推广到任意有限个两边都是正数的同向不等式两边分别相乘奎屯王新敞新疆这就是说,两个或者更多个两边都是正数的同向不等式两边分别相乘,所得不等式与原不等式同向奎屯王新敞新疆推论2若说明:(1)推论2是推论1的特殊情形;(2)应强调学生注意n∈N的条件奎屯王新敞新疆如果a>b>0,那么an>bn(nN,且n>1)奎屯王新敞新疆定理5若点拨:遇到困难时,可从问题的反面入手,即所谓的“正难则反”.我们用反证法来证明定理5,因为反面有两种情形,即和,所以不能仅仅否定了,就“归谬”了事,而必须进行“穷举”奎屯王新敞新疆证明:假定不大于,这有两种情况:,或者奎屯王新敞新疆由推论2和定理1,当时,有;当时,显然有这些都同已知条件矛盾所以奎屯王新敞新疆点评:反证法证题思路是:反设结论→找出矛盾→肯定结论.三、讲解范例:例1已知且,求证:(相除法则)证: ∴例2已知a>b>0,c<0,求证:证明: 两边同乘以正数即,又c<0∴例3已知a,b,x,y是正数,且,x>y.求证:证: >0∴b>a>0,又x>y>0∴xb>ay∴xy+xb>xy+ay即x(y+b)>y(x+a) a,b,x,y是正数,∴y+b>0,x+a>0∴例4已知函数,-4≤≤-1,-1≤(2)≤5,求的取值范围奎屯王新敞新疆分析:利用与设法表示a、c,然后再代入的表达式中,从而用与来表示,最后运用已知条件确定的取值范围奎屯王新敞新疆解: 解得∴ -4≤(1)≤1,故(1)又-1≤(2)≤5,故(2)把(1)和(2)的各边分别相加,得:-1≤≤20所以,-1≤(3)≤20奎屯王新敞新疆点评:应当注意,下面的解法是错误的:依题意,得:由(1)(2)利用不等式的性质进行加减消元,得0≤a≤3,1≤c≤7(3)所以,由可得,-7≤(3)≤27奎屯王新敞新疆以上解法其错因在于,由(1)(2)得到不等式(3)是利用了不等式性质中的加法法则,而此性质是单向的,不具有可逆性,从而使得a、c的范围扩大,这样(3)的范围也就随之扩大了奎屯王新敞新疆四、课堂练习:1.已知,,,求证:证:6.如果求证:证: >1∴又 ∴∴∴五、小结:通过本节学习,大家要掌握不等式性质的应用及反证法证明思路,为以后不等式的证明打下一定的基础奎屯王新敞新疆六、课后作业:一选择题:1.如果a>b>0,c>d>0,则下列不等式中不正确的是[C]A.a-d>b-cB.C.a+d>b+cD.ac>bd2奎屯王新敞新疆如果a、b为非0实数,则不等式成立的充要条件是[D]A.a>b且ab<0B.a0C.a>b,ab<0或ab<0D.a2b-ab2<03奎屯王新敞新疆当a>b>c时,下列不等式恒成立的是[B]A.ab>acB.(a-b)∣c-b∣>0C.a∣c∣>b∣c∣D.∣ab∣>∣bc|4奎屯王新敞新疆已知a、b为实数,则“a+b>2”是“a、b中至少有一个大于1”的...

1、当您付费下载文档后,您只拥有了使用权限,并不意味着购买了版权,文档只能用于自身使用,不得用于其他商业用途(如 [转卖]进行直接盈利或[编辑后售卖]进行间接盈利)。
2、本站所有内容均由合作方或网友上传,本站不对文档的完整性、权威性及其观点立场正确性做任何保证或承诺!文档内容仅供研究参考,付费前请自行鉴别。
3、如文档内容存在违规,或者侵犯商业秘密、侵犯著作权等,请点击“违规举报”。

碎片内容

高二数学下6.1 不等式的性质3教案

确认删除?
VIP
微信客服
  • 扫码咨询
会员Q群
  • 会员专属群点击这里加入QQ群
客服邮箱
回到顶部