电脑桌面
添加小米粒文库到电脑桌面
安装后可以在桌面快捷访问

福建省建瓯二中高一数学 函数的解析式教案VIP免费

福建省建瓯二中高一数学 函数的解析式教案_第1页
1/3
福建省建瓯二中高一数学 函数的解析式教案_第2页
2/3
福建省建瓯二中高一数学 函数的解析式教案_第3页
3/3
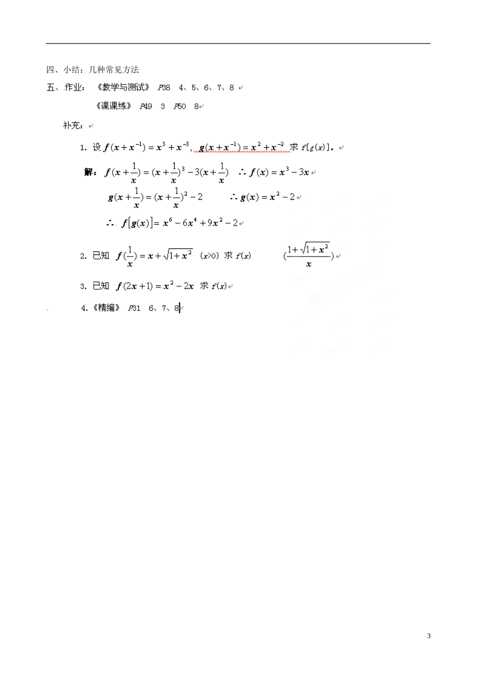
福建省建瓯二中高一数学函数的解析式教案教材:函数的解析式;《教学与测试》第17、18课目的:要求学生学会利用换元法、定义法、待定系数法等方法求函数解析式。过程:二、提出问题:已知复合函数如何求例一、(《教学与测试》P37例一)1.若,求f(x)。解法一(换元法):令t=则x=t21,t≥1代入原式有∴(x≥1)解法二(定义法):∴≥1∴f(x)=x21(x≥1)2.若求f(x)解:令则(t0)则∴f(x)=(x0且x1)例二、已知f(x)=ax+b,且af(x)+b=ax+8求f(x)解:(待定系数法)∵af(x)+b=a(ax+b)+b=a2x+ab+b∴解之或∴f(x)=3x+2或f(x)=3x41例三、已知f(x)是一次函数,且f[f(x)]=4x1,求f(x)的解析式。解:(待定系数法)设f(x)=kx+b则k(kx+b)+b=4x1则或∴或例四、(x0)求解一:令则∴∴解二:令则∴三、应用题:《教学与测试》思考题例五、动点P从边长为1的正方形ABCD的顶点A出发顺次经过B、C、D再回到A。设x表示P点的行程,y表示PA的长,求y关于x的函数。解:如图当P在AB边上运动时,PA=x当P在BC边上运动时PA=当P在CD边上运动时PA=当P在DA边上运动时PA=4x∴2DPCPAPB四、小结:几种常见方法3

1、当您付费下载文档后,您只拥有了使用权限,并不意味着购买了版权,文档只能用于自身使用,不得用于其他商业用途(如 [转卖]进行直接盈利或[编辑后售卖]进行间接盈利)。
2、本站所有内容均由合作方或网友上传,本站不对文档的完整性、权威性及其观点立场正确性做任何保证或承诺!文档内容仅供研究参考,付费前请自行鉴别。
3、如文档内容存在违规,或者侵犯商业秘密、侵犯著作权等,请点击“违规举报”。

碎片内容

福建省建瓯二中高一数学 函数的解析式教案

您可能关注的文档

雨丝书吧+ 关注
实名认证
内容提供者

乐于和他人分享知识,从事历史教学,热爱教育,高度负责。

确认删除?
VIP
微信客服
  • 扫码咨询
会员Q群
  • 会员专属群点击这里加入QQ群
客服邮箱
回到顶部