电脑桌面
添加小米粒文库到电脑桌面
安装后可以在桌面快捷访问

高中数学一轮复习专题:《基本初等函数》教案(新人教A版)VIP免费

高中数学一轮复习专题:《基本初等函数》教案(新人教A版)_第1页
1/15
高中数学一轮复习专题:《基本初等函数》教案(新人教A版)_第2页
2/15
高中数学一轮复习专题:《基本初等函数》教案(新人教A版)_第3页
3/15
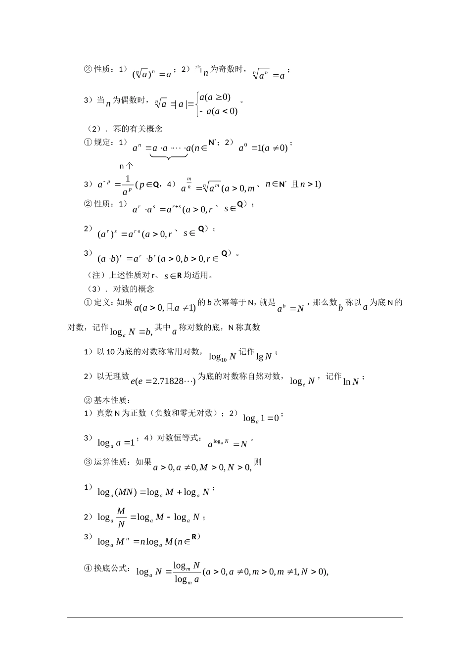
2009~2010学年度高三数学(人教版A版)第一轮复习资料基本初等函数一.【课标要求】1.指数函数(1)通过具体实例(如细胞的分裂,考古中所用的14C的衰减,药物在人体内残留量的变化等),了解指数函数模型的实际背景;(2)理解有理指数幂的含义,通过具体实例了解实数指数幂的意义,掌握幂的运算。(3)理解指数函数的概念和意义,能借助计算器或计算机画出具体指数函数的图象,探索并理解指数函数的单调性与特殊点;(4)在解决简单实际问题的过程中,体会指数函数是一类重要的函数模型2.对数函数(1)理解对数的概念及其运算性质,知道用换底公式能将一般对数转化成自然对数或常用对数;通过阅读材料,了解对数的发现历史以及对简化运算的作用;(2)通过具体实例,直观了解对数函数模型所刻画的数量关系,初步理解对数函数的概念,体会对数函数是一类重要的函数模型;能借助计算器或计算机画出具体对数函数的图象,探索并了解对数函数的单调性与特殊点;3.知道指数函数xay与对数函数xyalog互为反函数(a>0,a≠1)。4.幂函数(1)了解幂函数的概念(2)结合函数y=x,,y=x2,y=x3,y=x21,y=x1的图象,了解它们的变化情况二.【命题走向】指数函数、对数函数、幂函数是三类常见的重要函数,在历年的高考题中都占据着重要的地位。从近几年的高考形势来看,对指数函数、对数函数、幂函数的考查,大多以基本函数的性质为依托,结合运算推理,能运用它们的性质解决具体问题。为此,我们要熟练掌握指数、对数运算法则,明确算理,能对常见的指数型函数、对数型函数进行变形处理。预测2010年对本节的考察是:1.题型有两个选择题和一个解答题;2.题目形式多以指数函数、对数函数、幂函数为载体的复合函数来考察函数的性质。同时它们与其它知识点交汇命题,则难度会加大三.【要点精讲】1.指数与对数运算(1)根式的概念:①定义:若一个数的n次方等于),1(Nnna且,则这个数称a的n次方根。即若axn,则x称a的n次方根)1Nnn且,1)当n为奇数时,na的次方根记作na;2)当n为偶数时,负数a没有n次方根,而正数a有两个n次方根且互为相反数,记作)0(aan②性质:1)aann)(;2)当n为奇数时,aann;3)当n为偶数时,)0()0(||aaaaaan。(2).幂的有关概念①规定:1)naaaan(N*;2))0(10aa;n个3)paapp(1Q,4)maaanmnm,0(、nN*且)1n②性质:1)raaaasrsr,0(、sQ);2)raaasrsr,0()(、sQ);3)rbababarrr,0,0()(Q)。(注)上述性质对r、sR均适用。(3).对数的概念①定义:如果)1,0(aaa且的b次幂等于N,就是Nab,那么数b称以a为底N的对数,记作,logbNa其中a称对数的底,N称真数1)以10为底的对数称常用对数,N10log记作Nlg;2)以无理数)71828.2(ee为底的对数称自然对数,Nelog,记作Nln;②基本性质:1)真数N为正数(负数和零无对数);2)01loga;3)1logaa;4)对数恒等式:NaNalog。③运算性质:如果,0,0,0,0NMaa则1)NMMNaaaloglog)(log;2)NMNMaaalogloglog;3)nMnMana(loglogR)④换底公式:),0,1,0,0,0(logloglogNmmaaaNNmma1)1loglogabba;2)bmnbanamloglog。2.指数函数与对数函数(1)指数函数:①定义:函数)1,0(aaayx且称指数函数,1)函数的定义域为R;2)函数的值域为),0(;3)当10a时函数为减函数,当1a时函数为增函数。②函数图像:1)指数函数的图象都经过点(0,1),且图象都在第一、二象限;2)指数函数都以x轴为渐近线(当10a时,图象向左无限接近x轴,当1a时,图象向右无限接近x轴);3)对于相同的)1,0(aaa且,函数xxayay与的图象关于y轴对称③函数值的变化特征:(2)对数函数:①定义:函数)1,0(logaaxya且称对数函数,1)函数的定义域为),0(;2)函数的值域为R;3)当10a时函数为减函数,当1a时函数为增函数;4)对数函数xyalog与指数函数)1,0(aaayx且互为反函数②函数图像:①,②,③①,②,③,1)对数函数的图象都经...

1、当您付费下载文档后,您只拥有了使用权限,并不意味着购买了版权,文档只能用于自身使用,不得用于其他商业用途(如 [转卖]进行直接盈利或[编辑后售卖]进行间接盈利)。
2、本站所有内容均由合作方或网友上传,本站不对文档的完整性、权威性及其观点立场正确性做任何保证或承诺!文档内容仅供研究参考,付费前请自行鉴别。
3、如文档内容存在违规,或者侵犯商业秘密、侵犯著作权等,请点击“违规举报”。

碎片内容

高中数学一轮复习专题:《基本初等函数》教案(新人教A版)

您可能关注的文档

确认删除?
VIP
微信客服
  • 扫码咨询
会员Q群
  • 会员专属群点击这里加入QQ群
客服邮箱
回到顶部