电脑桌面
添加小米粒文库到电脑桌面
安装后可以在桌面快捷访问

高中数学 第一章 三角函数 1.2.2 同角的三角函数的基本关系教案 新人教A版必修4-新人教A版高一必修4数学教案VIP免费

高中数学 第一章 三角函数 1.2.2 同角的三角函数的基本关系教案 新人教A版必修4-新人教A版高一必修4数学教案_第1页
1/5
高中数学 第一章 三角函数 1.2.2 同角的三角函数的基本关系教案 新人教A版必修4-新人教A版高一必修4数学教案_第2页
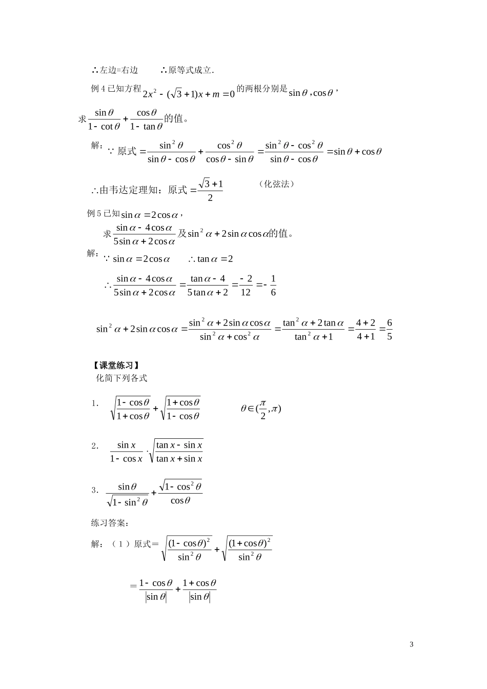
2/5
高中数学 第一章 三角函数 1.2.2 同角的三角函数的基本关系教案 新人教A版必修4-新人教A版高一必修4数学教案_第3页
3/5
1.2.2同角的三角函数的基本关系一、教学目标:⒈掌握同角三角函数的基本关系式,理解同角公式都是恒等式的特定意义;2奎屯王新敞新疆通过运用公式的训练过程,培养学生解决三角函数求值、化简、恒等式证明的解题技能,提高运用公式的灵活性;3奎屯王新敞新疆注意运用数形结合的思想解决有关求值问题;在解决三角函数化简问题过程中,注意培养学生思维的灵活性及思维的深化;在恒等式证明的教学过程中,注意培养学生分析问题的能力,从而提高逻辑推理能力.二、教学重、难点重点:公式1cossin22及tancossin的推导及运用:(1)已知某任意角的正弦、余弦、正切值中的一个,求其余两个;(2)化简三角函数式;(3)证明简单的三角恒等式.难点:根据角α终边所在象限求出其三角函数值;选择适当的方法证明三角恒等式.三、学法与教学用具利用三角函数线的定义,推导同角三角函数的基本关系式:1cossin22及tancossin,并灵活应用求三角函数值,化减三角函数式,证明三角恒等式等.教学用具:圆规、三角板、投影四、教学过程【创设情境】与初中学习锐角三角函数一样,本节课我们来研究同角三角函数之间关系,弄清同角各不同三角函数之间的联系,实现不同函数值之间的互相转化.【探究新知】探究:三角函数是以单位圆上点的坐标来定义的,你能从圆的几何性质出发,讨论一下同一个角不同三角函数之间的关系吗?如图:以正弦线MP,余弦线OM和半径OP三者的长构成直角三角形,而且1OP.由勾股定理由221MPOM,因此221xy,即22sincos1.根据三角函数的定义,当()2akkZ时,有sintancos.这就是说,同一个角的正弦、余弦的平方等于1,商等于角的正切.【例题讲评】例1化简:440sin12解:原式80cos80cos80sin1)80360(sin1222例2已知sin1sin1sin1sin1是第三象限角,化简解:)sin1)(sin1()sin1)(sin1()sin1)(sin1()sin1)(sin1(原式1OxyPM1A(1,0)|cos|sin1|cos|sin1sin1)sin1(sin1)sin1(22220cos是第三象限角,tan2cossin1cossin1原式(注意象限、符号)例3求证:cossin1sin1cos分析:思路1.把左边分子分母同乘以xcos,再利用公式变形;思路2:把左边分子、分母同乘以(1+sinx)先满足右式分子的要求;思路3:用作差法,不管分母,只需将分子转化为零;思路4:用作商法,但先要确定一边不为零;思路5:利用公分母将原式的左边和右边转化为同一种形式的结果;思路6:由乘积式转化为比例式;思路7:用综合法.证法1:左边=xxxxxxxxxcossin1cos)sin1(sin1cos)sin1(coscos2右边,∴原等式成立奎屯王新敞新疆证法2:左边=)sin1)(sin1(cos)sin1(xxxx=xxx2sin1cos)sin1(xxx2coscos)sin1(=xxcossin1右边奎屯王新敞新疆证法3: 0cos)sin1(coscoscos)sin1()sin1(coscossin1sin1cos2222xxxxxxxxxxxx,∴xxxxcossin1sin1cos奎屯王新敞新疆证法4: cosx≠0,∴1+sinx≠0,∴xxcossin1≠0,∴xxxxcossin1sin1cos=xxxsin1sin1cos2=xx22sin1cos=1,∴xxxxcossin1sin1cos.,cos)sin1(cos)sin1(cossin1sin1sin1cossin1,cos)sin1(coscoscossin1cos:5222xxxxxxxxxxxxxxxxx右边左边证法2∴左边=右边∴原等式成立.例4已知方程0)13(22mxx的两根分别是cossin,,求的值。tan1coscot1sin解:cossincossincossinsincoscoscossinsin2222原式213由韦达定理知:原式(化弦法)例5已知cos2sin,求的值。及cossin2sincos2sin5cos4sin2解:2tancos2sin611222tan54tancos2sin5cos4sin5614241tantan2tancossincossin2sincossin2sin222222【课堂...

1、当您付费下载文档后,您只拥有了使用权限,并不意味着购买了版权,文档只能用于自身使用,不得用于其他商业用途(如 [转卖]进行直接盈利或[编辑后售卖]进行间接盈利)。
2、本站所有内容均由合作方或网友上传,本站不对文档的完整性、权威性及其观点立场正确性做任何保证或承诺!文档内容仅供研究参考,付费前请自行鉴别。
3、如文档内容存在违规,或者侵犯商业秘密、侵犯著作权等,请点击“违规举报”。

碎片内容

高中数学 第一章 三角函数 1.2.2 同角的三角函数的基本关系教案 新人教A版必修4-新人教A版高一必修4数学教案

您可能关注的文档

确认删除?
VIP
微信客服
  • 扫码咨询
会员Q群
  • 会员专属群点击这里加入QQ群
客服邮箱
回到顶部