电脑桌面
添加小米粒文库到电脑桌面
安装后可以在桌面快捷访问

高中数学 §1 正弦定理、余弦定理教案(2)北师大版必修5VIP免费

高中数学 §1 正弦定理、余弦定理教案(2)北师大版必修5_第1页
1/3
高中数学 §1 正弦定理、余弦定理教案(2)北师大版必修5_第2页
2/3
高中数学 §1 正弦定理、余弦定理教案(2)北师大版必修5_第3页
3/3
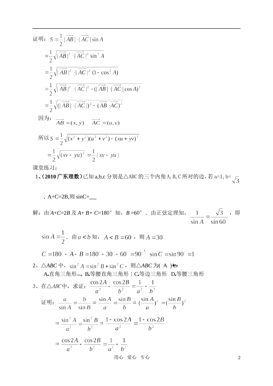
§1正弦定理、余弦定理(2)教学目的:⑴使学生掌握正弦定理⑵能应用解斜三角形,解决实际问题教学重点:正弦定理教学难点:正弦定理的正确理解和熟练运用教学过程:一、复习引入(1)正弦定理:(2)正弦定理的应用范围①已知三角形的两角和任一边,求三角形的其他边和角②已知三角形的两边和其中一边的对角,求三角形的其他边和角(3)解三角形时根的个数数问题二、新课讲解问题1:在中,斜边是外接圆的直径(设外接圆的半径为),因此:(1)(2)(3)这个结论对任意三角形是否成立?问题2:在中,,则的面积,对任意,已知及,则的面积,你能证明这一结论吗?你能应用公式推导正弦定理吗?例1:在中,,求证:的面积用心爱心专心1CCCBBBAAAyxB(x,y)C(u,v)AO证明:因为:所以课堂练习:1、(2010广东理数)已知a,b,c分别是△ABC的三个内角A,B,C所对的边,若a=1,b=,A+C=2B,则sinC=解:由A+C=2B及A+B+C=180°知,B=60°.由正弦定理知,,即.由知,,则],2、△ABC中,,则△ABC为(A)A奎屯王新敞新疆直角三角形B奎屯王新敞新疆等腰直角三角形C奎屯王新敞新疆等边三角形D奎屯王新敞新疆等腰三角形3、在△ABC中,求证:证明:用心爱心专心2课堂小结先由学生自己总结解题所得。由正弦定理可以看出,在边角转化时,用正弦定理形式更简单,所以在判断三角形的形状时更加常用。但在解题时要注意,对于三角形的内角,确定了它的正弦值,要分两种情况来分析。用心爱心专心3

1、当您付费下载文档后,您只拥有了使用权限,并不意味着购买了版权,文档只能用于自身使用,不得用于其他商业用途(如 [转卖]进行直接盈利或[编辑后售卖]进行间接盈利)。
2、本站所有内容均由合作方或网友上传,本站不对文档的完整性、权威性及其观点立场正确性做任何保证或承诺!文档内容仅供研究参考,付费前请自行鉴别。
3、如文档内容存在违规,或者侵犯商业秘密、侵犯著作权等,请点击“违规举报”。

碎片内容

高中数学 §1 正弦定理、余弦定理教案(2)北师大版必修5

您可能关注的文档

星河书苑+ 关注
实名认证
内容提供者

从事历史教学,热爱教育,高度负责。

确认删除?
VIP
微信客服
  • 扫码咨询
会员Q群
  • 会员专属群点击这里加入QQ群
客服邮箱
回到顶部