电脑桌面
添加小米粒文库到电脑桌面
安装后可以在桌面快捷访问

高中数学 2.4平面向量的数量积教案4 新人教A版必修4VIP免费

高中数学 2.4平面向量的数量积教案4 新人教A版必修4_第1页
1/5
高中数学 2.4平面向量的数量积教案4 新人教A版必修4_第2页
2/5
高中数学 2.4平面向量的数量积教案4 新人教A版必修4_第3页
3/5
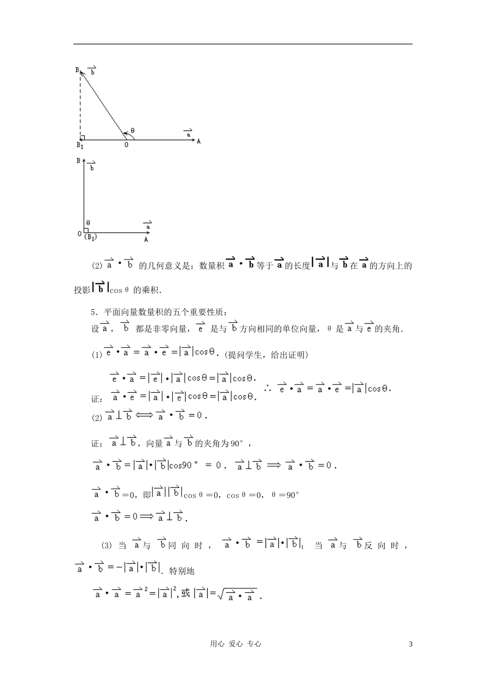
平面向量的数量积教案教学目标1.理解掌握平面内两向量夹角的概念及取值范围[0,π].2.理解掌握两个非零向量的数量积(内积)cosθ的定义及其几何意义.3.理解掌握两向量共线、垂直的几何判定.4.理解掌握平面向量数量积的五个重要性质.教学重点和难点重点:本节课是全章的重点内容,所有内容都非常重要,主要有:平面向量夹角的概念;平面向量数量积的定义;平面向量数量积的几何意义;平面向量共线、垂直的判定;平面向量数量积的五个重要性质.难点:对平面向量数量积的定义,平面向量数量积的几何意义,平面向量数量积的五条重要性质的正确理解和掌握.教学过程设计(一)学生阅读课文.阅读思考题:(1)怎样定义平面内两向量的夹角.(2)什么是平面向量的数量积,它的几何意义是什么?(3)怎样应用平面向量的数量积判断两直线的垂直和平行.(4)平面向量的数量积有那些重要性质.(二)教师在学生回答思考题的基础上进行讲评.1.平面向量的夹角:(1)两向量的夹角:已知非零向量,作,∠AOB=θ,(0≤θ≤π)叫做向量与的夹角.当θ=0时,与同向;当θ=π时,与反向.(2)两向量的垂直:如果与的夹角是90°,则说与垂直,记作.2.平面向量的数量积:已积两个非零向量和,它们的夹角为θ,把数量|a|·|b|cosθ叫做与的数量积(内积、点积)记作,即cosθ.并且规定零向量与任一向量的数量积为0.(1)两个平面向量的数量积是一个数量,不是向量,它的值等于两个向量的模与两向量夹角的余弦的乘积,其符号由夹角的余弦值决定.(2)两平面向量的数量积与数a与数b的积a·b不同,的数值与向量的夹角有关,而a·b没有这一因素,因之二者有不同之处.用心爱心专心1如当a≠时,由=0不能推出一定是零向量,这是因为任一与垂直的非零向量即有=0,这与a·b=0,则a=0或b=0不同.又如,已知实数a、b、c,(b≠0)由ab=bc我们可以推出a=c,但对于向量,这种推理是不正确的.并不能一定推出.即cos=cos这里表示向量与的夹角,表示向量与的夹角,由cos=cos可推得,,推不出.3.两向量共线与垂直的判定两向量共线,若与共线同向,θ=0.则;若与共线反向,θ=π,则重要方法:4.平面向量数量积的几何意义:(1)投影:在cosθ中,cosθ叫做向量在方向上的投影.当θ为锐角时,它是正值,当θ为钝角时,它是负值;当θ=90°时,它是零;当θ=0°时,它是;当θ=180°时,它是-.用心爱心专心2(2)的几何意义是:数量积等于的长度与在的方向上的投影cosθ的乘积.5.平面向量数量积的五个重要性质:设,都是非零向量,是与方向相同的单位向量,θ是与的夹角.(1)(提问学生,给出证明)证:(2)证:,向量与的夹角为90°,=0,即cosθ=0,cosθ=0,θ=90°(3)当与同向时,;当与反向时,.特别地用心爱心专心3证:与同向,与的夹角为0°.与反向,与的夹角为180°.因与的夹角为0°.即(4)cosθ=.证:∵这是求两向量夹角时常用的公式.(5)证:.这里|cosθ|≤1.∴在以上这五个性质中,较常用的是:cosθ=同学们要牢牢掌握.(三)学生练习,教师辅导.练习1:课本练习2.解:=8,=6,、夹角60°.·=·cos60°=24.练习2:课本练习3.用心爱心专心4θ=135°.练习3:课本练习4.解:△ABC中,=,=.当<0时,、夹角为钝角,△ABC为钝角三角形.当=0时,⊥,△ABC为直角三角形.解:练习5:=4,与的夹角为30°,求与方向上的投影.练习6:已知=-40,=10,=8,求与的夹角θ.(四)教师小结.1.平面向量的数量积,射影.2.平面向量的性质,(2),(3),(4).(五)作业用心爱心专心5

1、当您付费下载文档后,您只拥有了使用权限,并不意味着购买了版权,文档只能用于自身使用,不得用于其他商业用途(如 [转卖]进行直接盈利或[编辑后售卖]进行间接盈利)。
2、本站所有内容均由合作方或网友上传,本站不对文档的完整性、权威性及其观点立场正确性做任何保证或承诺!文档内容仅供研究参考,付费前请自行鉴别。
3、如文档内容存在违规,或者侵犯商业秘密、侵犯著作权等,请点击“违规举报”。

碎片内容

高中数学 2.4平面向量的数量积教案4 新人教A版必修4

您可能关注的文档

星河书苑+ 关注
实名认证
内容提供者

从事历史教学,热爱教育,高度负责。

确认删除?
VIP
微信客服
  • 扫码咨询
会员Q群
  • 会员专属群点击这里加入QQ群
客服邮箱
回到顶部