电脑桌面
添加小米粒文库到电脑桌面
安装后可以在桌面快捷访问

高中数学 2.4 向量的数量积(1)教案 苏教版必修4VIP免费

高中数学 2.4 向量的数量积(1)教案 苏教版必修4_第1页
1/3
高中数学 2.4 向量的数量积(1)教案 苏教版必修4_第2页
2/3
高中数学 2.4 向量的数量积(1)教案 苏教版必修4_第3页
3/3
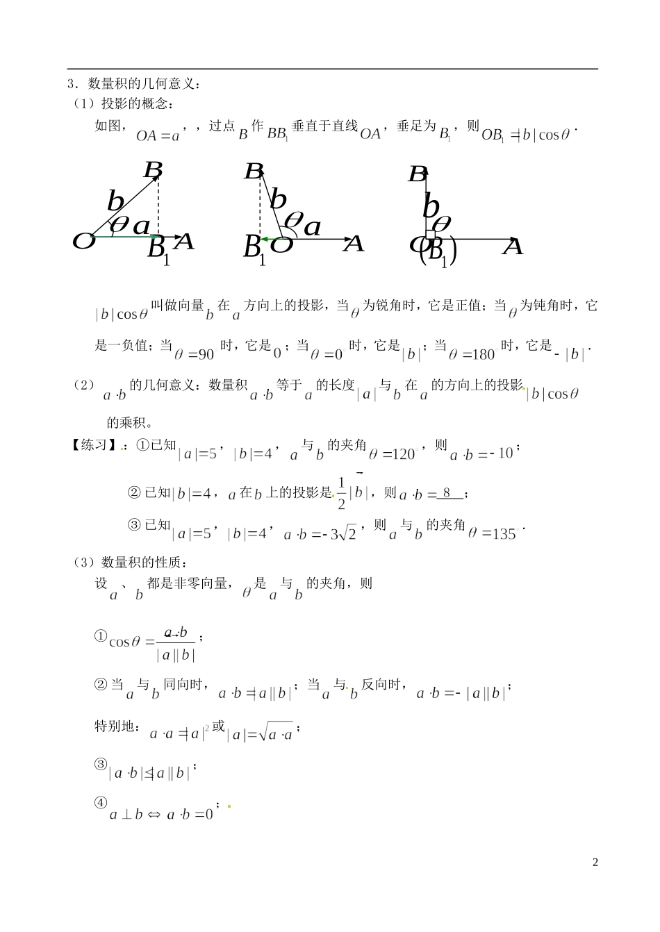
2.4向量的数量积(1)一、课题:向量的数量积(1)二、教学目标:1.理解平面向量数量积的概念;2.掌握两向量夹角的概念及其取值范围;3.掌握两向量共线及垂直的充要条件;4.掌握向量数量积的性质。三、教学重、难点:向量数量积及其重要性质。四、教学过程:(一)引入:物理课中,物体所做的功的计算方法:(其中是与的夹角).(二)新课讲解:1.向量的夹角:已知两个向量和(如图2),作,,则()叫做向量与的夹角。当时,与同向;当时,与反向;当时,与的夹角是,我们说与垂直,记作.2.向量数量积的定义:已知两个非零向量和,它们的夹角为,则数量叫做与的数量积(或内积),记作,即.说明:①两个向量的数量积是一个数量,这个数量的大小与两个向量的长度及其夹角有关;②实数与向量的积与向量数量积的本质区别:两个向量的数量积是一个数量;实数与向量的积是一个向量;③规定,零向量与任一向量的数量积是.1sF�OABab(图1)(图2)3.数量积的几何意义:(1)投影的概念:如图,,,过点作垂直于直线,垂足为,则.叫做向量在方向上的投影,当为锐角时,它是正值;当为钝角时,它是一负值;当时,它是;当时,它是;当时,它是.(2)的几何意义:数量积等于的长度与在的方向上的投影的乘积。【练习】:①已知,,与的夹角,则;②已知,在上的投影是,则8;③已知,,,则与的夹角.(3)数量积的性质:设、都是非零向量,是与的夹角,则①;②当与同向时,;当与反向时,;特别地:或;③;④;2aOABb1BOABba1BOABb1()B若是与方向相同的单位向量,则⑤.4.例题分析:例1已知正的边长为,设,,,求.解:如图,与、与、与夹角为,∴原式.例2已知,,,且,求.解:作,,∵,∴,∵且,∴中,,∴,∴,,所以,.五、课后练习:补充:1.若非零向量与满足,则0.六、课堂小结:1.向量数量积的概念;2.向量数量积的几何意义;3.向量数量积的性质。七、作业:3CABBC

1、当您付费下载文档后,您只拥有了使用权限,并不意味着购买了版权,文档只能用于自身使用,不得用于其他商业用途(如 [转卖]进行直接盈利或[编辑后售卖]进行间接盈利)。
2、本站所有内容均由合作方或网友上传,本站不对文档的完整性、权威性及其观点立场正确性做任何保证或承诺!文档内容仅供研究参考,付费前请自行鉴别。
3、如文档内容存在违规,或者侵犯商业秘密、侵犯著作权等,请点击“违规举报”。

碎片内容

高中数学 2.4 向量的数量积(1)教案 苏教版必修4

您可能关注的文档

星河书苑+ 关注
实名认证
内容提供者

从事历史教学,热爱教育,高度负责。

确认删除?
VIP
微信客服
  • 扫码咨询
会员Q群
  • 会员专属群点击这里加入QQ群
客服邮箱
回到顶部