电脑桌面
添加小米粒文库到电脑桌面
安装后可以在桌面快捷访问

高中数学 1.1 正弦定理和余弦定理教案3 新人教版必修5VIP免费

高中数学 1.1 正弦定理和余弦定理教案3 新人教版必修5_第1页
1/19
高中数学 1.1 正弦定理和余弦定理教案3 新人教版必修5_第2页
2/19
高中数学 1.1 正弦定理和余弦定理教案3 新人教版必修5_第3页
3/19
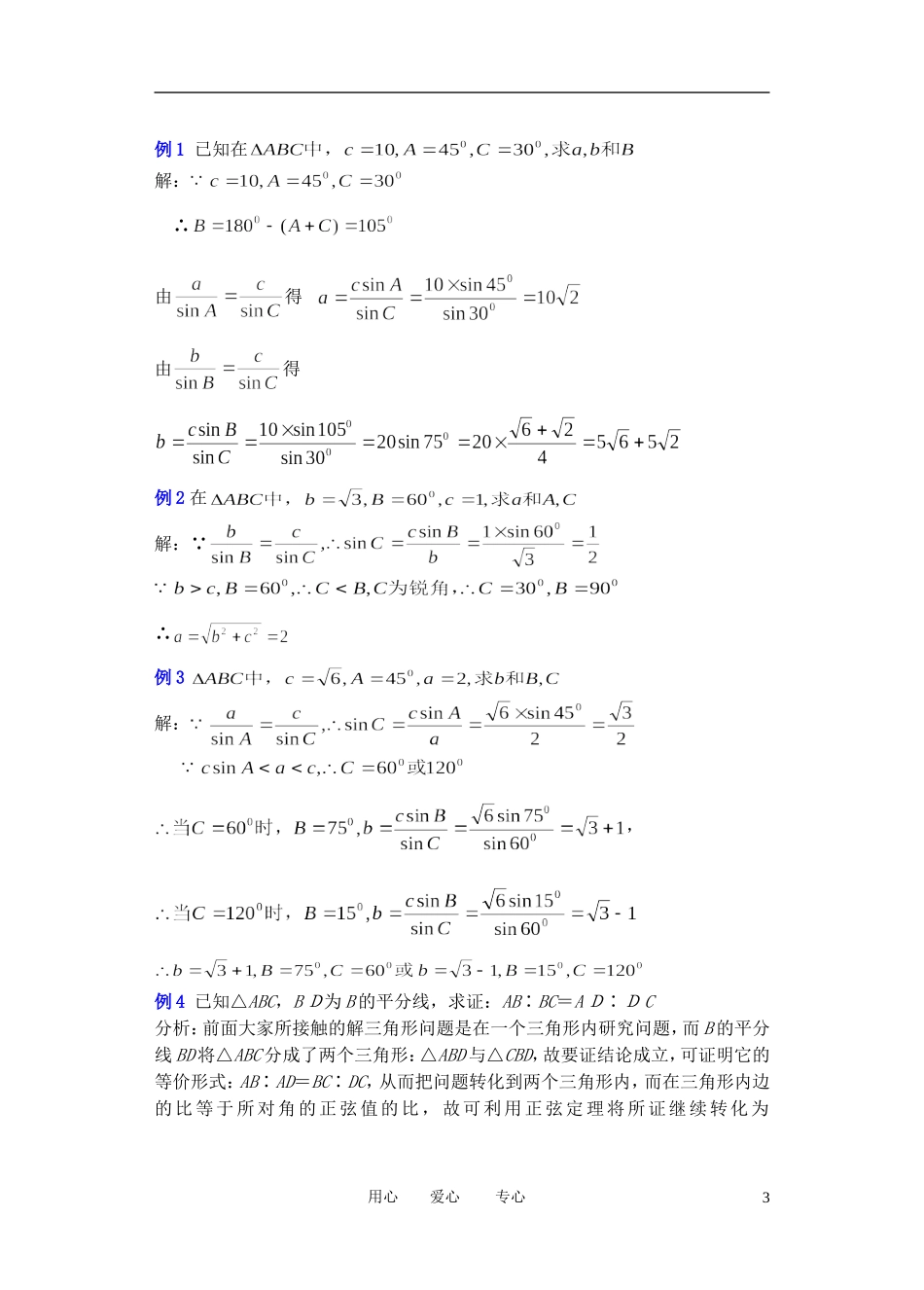
课题:正弦定理、余弦定理(1)教学目的:⑴使学生掌握正弦定理⑵能应用解斜三角形,解决实际问题教学重点:正弦定理教学难点:正弦定理的正确理解和熟练运用授课类型:新授课课时安排:1课时教具:多媒体、实物投影仪教学过程:一、引言:在直角三角形中,由三角形内角和定理、勾股定理、锐角三角函数,可以由已知的边和角求出未知的边和角那么斜三角形怎么办?——提出课题:正弦定理、余弦定理二、讲解新课:正弦定理:在任一个三角形中,各边和它所对角的正弦比相等,即===2R(R为△ABC外接圆半径)1.直角三角形中:sinA=,sinB=,sinC=1即c=,c=,c=.∴==2.斜三角形中证明一:(等积法)在任意斜△ABC当中S△ABC=两边同除以即得:==证明二:(外接圆法)如图所示,∠A=∠D∴用心爱心专心1abcOBCAD同理=2R,=2R证明三:(向量法)过A作单位向量垂直于由+=两边同乘以单位向量得•(+)=•则•+•=•∴||•||cos90+||•||cos(90C)=||•||cos(90A)∴∴=同理,若过C作垂直于得:=∴==正弦定理的应用从理论上正弦定理可解决两类问题:1.两角和任意一边,求其它两边和一角;2.两边和其中一边对角,求另一边的对角,进而可求其它的边和角(见图示)已知a,b和A,用正弦定理求B时的各种情况:⑴若A为锐角时:babababaa已知边a,b和A仅有一个解有两个解仅有一个解无解abCH=bsinA

1、当您付费下载文档后,您只拥有了使用权限,并不意味着购买了版权,文档只能用于自身使用,不得用于其他商业用途(如 [转卖]进行直接盈利或[编辑后售卖]进行间接盈利)。
2、本站所有内容均由合作方或网友上传,本站不对文档的完整性、权威性及其观点立场正确性做任何保证或承诺!文档内容仅供研究参考,付费前请自行鉴别。
3、如文档内容存在违规,或者侵犯商业秘密、侵犯著作权等,请点击“违规举报”。

碎片内容

高中数学 1.1 正弦定理和余弦定理教案3 新人教版必修5

您可能关注的文档

星河书苑+ 关注
实名认证
内容提供者

从事历史教学,热爱教育,高度负责。

确认删除?
微信客服
  • 扫码咨询
会员Q群
  • 会员专属群点击这里加入QQ群