电脑桌面
添加小米粒文库到电脑桌面
安装后可以在桌面快捷访问

高中数学 1.5.1二项式定理(一) 教案 北师大选修2-3VIP免费

高中数学 1.5.1二项式定理(一) 教案 北师大选修2-3_第1页
1/3
高中数学 1.5.1二项式定理(一) 教案 北师大选修2-3_第2页
2/3
高中数学 1.5.1二项式定理(一) 教案 北师大选修2-3_第3页
3/3
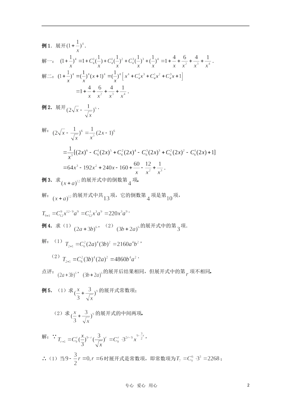
1.5.1二项式定理教学目标:1、能用计数原理证明二项式定理;2、掌握二项式定理及二项式展开式的通项公式教学重点:掌握二项式定理及二项式展开式的通项公式教学过程一、复习引入:⑴;⑵奎屯王新敞新疆⑶的各项都是次式,即展开式应有下面形式的各项:,,,,,展开式各项的系数:上面个括号中,每个都不取的情况有种,即种,的系数是;恰有个取的情况有种,的系数是,恰有个取的情况有种,的系数是,恰有个取的情况有种,的系数是,有都取的情况有种,的系数是,∴.二、讲解新课:1、二项式定理:2、二项式定理的证明。(a+b)n是n个(a+b)相乘,每个(a+b)在相乘时,有两种选择,选a或b,由分步计数原理可知展开式共有2n项(包括同类项),其中每一项都是akbn-k的形式,k=0,1,…,n;对于每一项akbn-k,它是由k个(a+b)选了a,n-k个(a+b)选了b得到的,它出现的次数相当于从n个(a+b)中取k个a的组合数,将它们合并同类项,就得二项展开式,这就是二项式定理。3、它有项,各项的系数叫二项式系数,4、叫二项展开式的通项,用表示,即通项.5、二项式定理中,设,则三、例子专心爱心用心1例1.展开.解一:.解二:.例2.展开.解:.例3.求的展开式中的倒数第项奎屯王新敞新疆解:的展开式中共项,它的倒数第项是第项,.例4.求(1),(2)的展开式中的第项.解:(1),(2).点评:,的展开后结果相同,但展开式中的第项不相同奎屯王新敞新疆例5.(1)求的展开式常数项;(2)求的展开式的中间两项奎屯王新敞新疆解:∵,∴(1)当时展开式是常数项,即常数项为;专心爱心用心2(2)的展开式共项,它的中间两项分别是第项、第项,,奎屯王新敞新疆课堂小节:本节课学习了二项式定理及二项式展开式的通项公式课堂练习:课后作业:专心爱心用心3

1、当您付费下载文档后,您只拥有了使用权限,并不意味着购买了版权,文档只能用于自身使用,不得用于其他商业用途(如 [转卖]进行直接盈利或[编辑后售卖]进行间接盈利)。
2、本站所有内容均由合作方或网友上传,本站不对文档的完整性、权威性及其观点立场正确性做任何保证或承诺!文档内容仅供研究参考,付费前请自行鉴别。
3、如文档内容存在违规,或者侵犯商业秘密、侵犯著作权等,请点击“违规举报”。

碎片内容

高中数学 1.5.1二项式定理(一) 教案 北师大选修2-3

您可能关注的文档

星河书苑+ 关注
实名认证
内容提供者

从事历史教学,热爱教育,高度负责。

相关文档

确认删除?
VIP
微信客服
  • 扫码咨询
会员Q群
  • 会员专属群点击这里加入QQ群
客服邮箱
回到顶部