电脑桌面
添加小米粒文库到电脑桌面
安装后可以在桌面快捷访问

第二章 离散傅里叶变换 数字信号处理习题答案VIP免费

第二章 离散傅里叶变换 数字信号处理习题答案_第1页
1/16
第二章 离散傅里叶变换 数字信号处理习题答案_第2页
2/16
第二章 离散傅里叶变换 数字信号处理习题答案_第3页
3/16
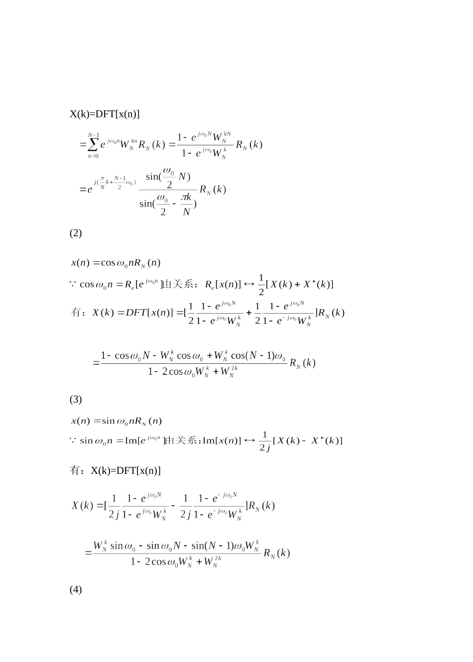
第二章离散傅里叶变换(DFT)1.设x(n)=R3(n)求,并作图表示,。解:=-712789n||k2.设求:,的周期卷积序列,以及。解:2.用封闭形式表达以下有限长序列的DFT[x(n)]。解:(1)X(k)=DFT[x(n)](2)(3)有:X(k)=DFT[x(n)](4)4.已知以下X(k),求IDFT[X(k)],其中m为某一正整数,0

1、当您付费下载文档后,您只拥有了使用权限,并不意味着购买了版权,文档只能用于自身使用,不得用于其他商业用途(如 [转卖]进行直接盈利或[编辑后售卖]进行间接盈利)。
2、本站所有内容均由合作方或网友上传,本站不对文档的完整性、权威性及其观点立场正确性做任何保证或承诺!文档内容仅供研究参考,付费前请自行鉴别。
3、如文档内容存在违规,或者侵犯商业秘密、侵犯著作权等,请点击“违规举报”。

碎片内容

第二章 离散傅里叶变换 数字信号处理习题答案

您可能关注的文档

墨香书阁+ 关注
实名认证
内容提供者

热爱教学事业,对互联网知识分享很感兴趣

确认删除?
微信客服
  • 扫码咨询
会员Q群
  • 会员专属群点击这里加入QQ群