电脑桌面
添加小米粒文库到电脑桌面
安装后可以在桌面快捷访问

第七章 刚体力学习题及解答VIP免费

第七章 刚体力学习题及解答_第1页
1/31
第七章 刚体力学习题及解答_第2页
2/31
第七章 刚体力学习题及解答_第3页
3/31
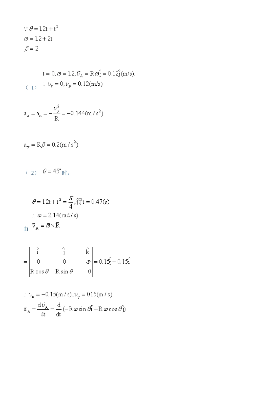
第七章刚体力学习题及解答7.1.1设地球绕日作圆周运动.求地球自转和公转的角速度为多少rad/s?估算地球赤道上一点因地球自转具有的线速度和向心加速度.估算地心因公转而具有的线速度和向心加速度(自己搜集所需数据).解:7.1.2汽车发动机的转速在12s内由1200rev/min增加到3000rev/min.(1)假设转动是匀加速转动,求角加速度.(2)在此时间内,发动机转了多少转?解:(1)(2)所以转数=7.1.3某发动机飞轮在时间间隔t内的角位移为球t时刻的角速度和角加速度.解:7.1.4半径为0.1m的圆盘在铅直平面内转动,在圆盘平面内建立坐标系,原点在轴上.x和y轴沿水平和铅直向上的方向.边缘上一点A当t=0时恰好在x轴上,该点的角坐标满足求(1)t=0时,(2)自t=0开始转时,(3)转过时,A点的速度和加速度在x和y轴上的投影.解:(1)(2)时,由(3)当时,由7.1.5钢制炉门由两个各长1.5m的平行臂AB和CD支承,以角速度逆时针转动,求臂与铅直时门中心G的速度和加速度.解:因炉门在铅直面内作平动,门中心G的速度、加速度与B或D点相同。所以:7.1.6收割机拔禾轮上面通常装4到6个压板.拔禾轮一边旋转,一边随收割机前进.压板转到下方才发挥作用,一方面把农作物压向切割器,另一方面把切割下来的作物铺放在收割台上,因此要求压板运动到下方时相对于作物的速度与收割机前进方向相反.已知收割机前进速率为1.2m/s,拔禾轮直径1.5m,转速22rev/min,求压板运动到最低点挤压作物的速度.解:取地面为基本参考系,收割机为运动参考系。取收割机前进的方向为坐标系正方向7.1.7飞机沿水平方向飞行,螺旋桨尖端所在半径为150cm,发动机转速2000rev/min.(1)桨尖相对于飞机的线速率等于多少?(2)若飞机以250km/h的速率飞行,计算桨尖相对于地面速度的大小,并定性说明桨尖的轨迹.解:取地球为基本参考系,飞机为运动参考系。(1)研究桨头相对于运动参考系的运动:(2)研究桨头相对于基本参考系的运动:由于桨头同时参与两个运动:匀速直线运动和匀速圆周运动。故桨头轨迹应是一个圆柱螺旋线。7.1.8桑塔纳汽车时速为166km/h.车轮滚动半径为0.26m.自发动机至驱动轮的转速比为0.909.问发动机转速为每分多少转.解:设发动机转速为,驱动轮的转速为。由题意:(1)汽车的速率为(2)(2)代入(1)7.2.2在下面两种情况下求直圆锥体的总质量和质心位置.(1)圆锥体为均质;(2)密度为h的函数:为正常数.解:建立如图坐标O-x,由对称轴分析知质心在x轴上。由得:(1)质量(2)质量7.2.3长度为的均质杆,令其竖直地立于光滑的桌面上,然后放开手,由于杆不可能绝对沿铅直方向,故随即到下.求杆子的上端点运动的轨迹(选定坐标系,并求出轨迹的方程式).解:建立坐标系,水平方向为轴,竖直方向为轴.杆上端坐标为(x,y),杆受重力、地面对杆竖直向上的支承力,无水平方向力。由(质心运动定理)质心在杆的中点,沿水平方向质心加速度为零。开始静止,杆质心无水平方向移动。由杆在下落每一瞬时的几何关系可得:即杆上端运动轨迹方程为:•(1)用积分法证明:质量为m长为的均质细杆对通过中心且与杆垂直的轴线的转动惯量等于.解:建立水平方向o—x坐标(2)用积分法证明:质量为m、半径为R的均质薄圆盘对通过中心且在盘面内的转动轴的转动惯量为.解:令或利用公式7.3.2图示实验用的摆,,,,,近似认为圆形部分为均质圆盘,长杆部分为均质细杆.求对过悬点且与摆面垂直的轴线的转动惯量.解:将摆分为两部分:均匀细杆(),均匀圆柱()则==(用平行轴定理)I=0.14+2.51=2.657.3.3在质量为M半径为R的均质圆盘上挖出半径为r的两个圆孔,圆孔中心在半径R的中点,求剩余部分对过大圆盘中心且与盘面垂直的轴线的转动惯量.解:设未挖两个圆孔时大圆盘转动惯量为I。如图半径为r的小圆盘转动惯量为和。则有()7.3.5一转动系统的转动惯量为,转速为,两制动闸瓦对轮的压力都为392N,闸瓦与轮缘间的摩擦系数为,轮半径为,从开始制动到静止需要用多少时间?解:7.3.6均质杆可绕支点O转动,当与杆垂直的冲力作用某点A时,支点O对杆的作用力并不因此冲力之作用而发生变化,则A点称为打击中心.设杆长为L,求打击中心与支点的距...

1、当您付费下载文档后,您只拥有了使用权限,并不意味着购买了版权,文档只能用于自身使用,不得用于其他商业用途(如 [转卖]进行直接盈利或[编辑后售卖]进行间接盈利)。
2、本站所有内容均由合作方或网友上传,本站不对文档的完整性、权威性及其观点立场正确性做任何保证或承诺!文档内容仅供研究参考,付费前请自行鉴别。
3、如文档内容存在违规,或者侵犯商业秘密、侵犯著作权等,请点击“违规举报”。

碎片内容

第七章 刚体力学习题及解答

您可能关注的文档

确认删除?
VIP
微信客服
  • 扫码咨询
会员Q群
  • 会员专属群点击这里加入QQ群
客服邮箱
回到顶部