电脑桌面
添加小米粒文库到电脑桌面
安装后可以在桌面快捷访问

定量生理复习资料VIP免费

定量生理复习资料_第1页
1/10
定量生理复习资料_第2页
2/10
定量生理复习资料_第3页
3/10
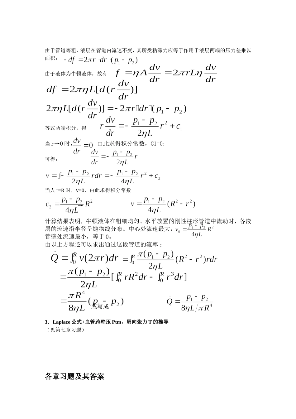
往年考题定量生理一.填空题呼吸机基础代谢率三个系统动作电位特点卡森方程心电图与心电向量环关系(一次投影二次投影)标准导联二.解释题静息电位:指细胞未受刺激时,存在于细胞膜内外两侧的外正内负的电位差基础代谢:动物处于安静、活动降至最低时的能量代谢单级导联:?雷诺系数:惯性力与单位面积液层所受的粘滞力之比牛顿液体:切应力与切应变率呈线性关系,而且切应变率趋于0时,切应力也趋于0,具有这种特性的液体流量强度、流量密度之间的关系:单位时间内通过某面积的物质总量(质量、体积或粒子数)称为流量强度单位时间内通过垂直于物质输运方向每单位面积的物质量称为流量密度三.简答1.牛顿液体内摩擦力:流体内部不同流速层之间的黏性力2.??3.大小血液在大血管中的流动状态:血液在大血管中流动时,血液的流动状态可分成两部分:中心部分(),血液在流动时具有相同的速度;边界层(),流速由管壁处的0增大到时的。4.人工心脏电起搏原理、组成用一定形式的脉冲电流刺激心脏,使心脏按一定频率有效收缩系统基本结构:低频脉冲发生器刺激电极及导线电源5.Kcla%混合式的内电场及扩散效应(见第二章习题)四.推导1.①Fick-定律一维、三维表达式一维表达式:三维表达式:②有外力情况下Fick第一定律③液体表面为何有自发收缩趋势(第一章习题习题有)④建模推导伯努利方程假设条件:理想液体在一截面无限小的流管中流动令dS1处液体的流速为v1,压强为P1,相对于参考面的高度为h1。dS2处相应的量为v2,P2,h2。在dt时间内dS1移到dS1’位置,dS2移到dS2’由图可见,研究系统的机械能增量在数值上等于液块机械能的增量,由于理想气体不可被压缩,所以考虑流动过程中外界对系统所做的功。由于液体在流管内作稳定流动,液体所受侧压力与液体位移方向垂直,这部分力在液体流动过程中不做功。液体流动过程中唯一对系统做功的是作用截面上的压力,所做的功为根据机械能守恒定律△E=W所以整理得两端同除以V,得或写成恒量以上三个式子是Bernoulli(伯努利)方程的3种表达形式2.泊肃叶公式假设条件:水平放置的无限长圆柱形管道等粗,其内部充满牛顿液体。其中的一段长为L,半径为R,在压强差p1-p2的作用下作层流运动。取液体流动方向为正向考虑管内半径为r和r+dr之间的柱面液层的受力情况。设半径为r的液面所受粘滞力为f,则r+dr液面所受粘滞力为f+df,而且两力方向相反。取液体流动方向为正向,液层所受粘滞力的合力为由于管道等粗,液层在管道内流速不变,其所受粘滞力应等于作用于液层两端的压力差乘以面积:由于液体为牛顿液体,故有等式两端积分,得当r→0时,由此求得积分常数,C1=0;可得:当人r=R时,ν=0,由此求得积分常数→计算结果表明,牛顿液体在粗细均匀、水平放置的刚性柱形管道中流动时,各液层的流速沿半径呈抛物线分布。中心处流速最大,管壁处流速最小,等于0。由以上方程还可以求出通过这段管道的流率:或写成3.Laplace公式+血管跨壁压Ptm,周向张力T的推导(见第七章习题)各章习题及其答案第一章生物热力学1.什么是基础代谢率?都有哪些测定方法?基础代谢率是指人体在清醒而又极端安静的状态下,在热中间区范围的环境温度中,并在胃的消化和吸收活动已基本完毕的条件下的代谢率。基础代谢率的测定方法:a.直接测热法b.间接测热法2.请给出你所学过的不同条件下判断热力学过程进行方向的依据。??3.液体表面积为什么会有自发收缩的趋势?试从热力学观点加以说明。在液体与其他相的分界面上,有一个很薄的液层,称为表面层。如果将该层作为一个相,假设它的面积为A,内能为E,熵为S,自由能为F,则,由热力学第一定律,可得,式中为增加单位表面层面积外界对系统做的功。由此可得因此,在温度一定时,扩大dA表面积外界对系统做的功等于系统自由能的增量。,可推出,称之为表面张力系数。数值上等于当温度不变时扩大单位表面层将增加的表面能。当外界与系统没有功交换时,dF<0,即dA<0,由于一切自发过程都是不可逆的,所以结果表明表面积有自发的收缩趋势。4.什么是肌红蛋白分子部分饱和度?它与氧分压之间有什么关系?肌红蛋白分子部分饱和...

1、当您付费下载文档后,您只拥有了使用权限,并不意味着购买了版权,文档只能用于自身使用,不得用于其他商业用途(如 [转卖]进行直接盈利或[编辑后售卖]进行间接盈利)。
2、本站所有内容均由合作方或网友上传,本站不对文档的完整性、权威性及其观点立场正确性做任何保证或承诺!文档内容仅供研究参考,付费前请自行鉴别。
3、如文档内容存在违规,或者侵犯商业秘密、侵犯著作权等,请点击“违规举报”。

碎片内容

定量生理复习资料

确认删除?
VIP
微信客服
  • 扫码咨询
会员Q群
  • 会员专属群点击这里加入QQ群
客服邮箱
回到顶部