电脑桌面
添加小米粒文库到电脑桌面
安装后可以在桌面快捷访问

C型钢理论重量表VIP免费

C型钢理论重量表_第1页
1/7
C型钢理论重量表_第2页
2/7
C型钢理论重量表_第3页
3/7
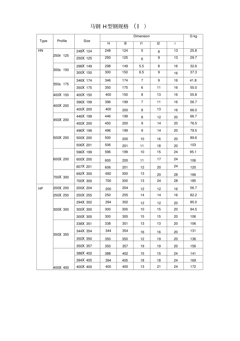
C型钢理论重量表C型钢型号m/kgC型钢型号m/kgC60X30X10X2.01.955C180X60X20X2.756.876C60X30X10X2.52.365C180X60X20X3.07.453C70X40X15X2.02.583C180X70X20X2.56.682C70X40X15X2.53.15C180X70X20X2.757.307C70X40X15X2.753.422C180X70X20X3.07.924C80X40X20X2.02.896C200X60X20X2.56.682C80X40X20X2.53.542C200X60X20X2.757.307C80X40X20X2.753.853C200X60X20X3.07.924C80X40X20X3.04.156C200X70X20X2.57.075C80X50X20X2.53.935C200X70X20X2.757.739C80X50X20X2.754.285C200X70X20X3.08.395C80X50X20X3.04.627C200X80X20X2.57.467C100X50X20X2.54.327C200X80X20X2.758.171C100X50X20X2.754.72C200X80X20X3.08.866C100X50X20X3.05.098C220X70X20X2.57.467C120X50X20X2.54.72C220X70X20X2.758.171C120X50X20X2.755.148C220X70X20X3.08.866C120X50X20X3.05.569C220X80X20X2.57.86C120X50X20X2.55.112C220X80X20X2.758.603C120X50X20X2.755.58C220X80X20X3.09.337C120X50X20X3.06.04C240X70X20X2.57.86C140X50X20X2.55.112C240X70X20X2.758.603C140X50X20X2.755.58C240X70X20X3.09.337C140X50X20X3.06.04C240X80X20X2.58.252C140X60X20X2.55.505C240X80X20X2.759.034C140X60X20X2.756.012C240X80X20X3.09.808C140X60X20X3.06.511C250X70X20X2.758.818C160X50X20X2.55.505C250X70X20X3.09.573C160X50X20X2.756.012C250X80X20X2.759.25C160X50X20X3.06.511C250X80X20X3.010.044C160X60X20X2.55.897C280X80X20X2.759.898C160X60X20X2.756.444C280X80X20X3.010.75C160X60X20X3.06.982C280X100X20X2.7510.761C160X70X20X2.56.29C280X100X20X3.011.692C160X70X20X2.756.875C300X80X20X3.011.221C160X70X20X3.07.453C300X100X25X3.012.399C180X60X20X2.56.29C300X100X30X3.012.634注:本表规格不全,可以根据工程要求加工订做。马钢H型钢规格(I)TypeProfileSizeDimensionGkgHBt1t2rHN250x125248X124248124581325.8250X125250125691329.7300x150298X1492981495.581632.6300X1503001506.591637.3350x175346X174346174791641.8350X1753501756111650.0400X150400X1504001508131655.8400X200396X1993961997111656.7400X2004002008131666.0450X200446X1994461998122066.7450X2004502009142076.5500X200496X1994961999142079.5500X20050020010162089.6506X201506201111820103600X200596X19959619910152495.1600X200600200111724106607X201606201122024120700X300692X300692300132028166700X300700300132428185HP200X200200X20420020412121656.7250X250250X25525025514141682.2300X300294X30229430212122085.0300X30030030010152094.5300X305300305151520106350X350338X351338351131320106344X354344354161620131350X350350350121920136350X357350357191920156400X400388X402388402151524141394X405394405181824169400X400400400132124172400X408400408212124197414X405414405182824233428X407428407203524284马钢H型钢规格(n)TypeProfileSizeDimensionGkgHBt1t2rHW200X200200X2002002008121650.5200X20420020412121656.7250X250250X2502502509141672.4250X25525025514141682.2300X300294X30229430212122085.0300X30030030010152094.5300X305300305151520106350X350344X348344348101620115350X350350350121920137400X400388X402388402151524141394X398394398111824147400X400400400132124172400X408400408212124197414X405414405182824233428X407428407203524284HM250X175244X1752441757111644.1300X200294X2002942008122057.3350X250340X2503402509142079.7400X300290X300390300101624107450X300440X300440300111824124500X300482X300482300111528115488X300488300111828129600X300582X300582300121728137588X300588300122028151594X302594302142328175H型钢规格宽、中、窄翼缘H型钢截面尺寸、理论重量型号Size高度X宽度(HXW)截面尺寸DimensionGkgHBt1t2rHXW100X50100X501005057109.54125X60125X6012560681013.3150X75150X7515075571014.3175X90175X9017590581018.2200X100198X99198994.581318.5200...

1、当您付费下载文档后,您只拥有了使用权限,并不意味着购买了版权,文档只能用于自身使用,不得用于其他商业用途(如 [转卖]进行直接盈利或[编辑后售卖]进行间接盈利)。
2、本站所有内容均由合作方或网友上传,本站不对文档的完整性、权威性及其观点立场正确性做任何保证或承诺!文档内容仅供研究参考,付费前请自行鉴别。
3、如文档内容存在违规,或者侵犯商业秘密、侵犯著作权等,请点击“违规举报”。

碎片内容

C型钢理论重量表

确认删除?
VIP
微信客服
  • 扫码咨询
会员Q群
  • 会员专属群点击这里加入QQ群
客服邮箱
回到顶部