电脑桌面
添加小米粒文库到电脑桌面
安装后可以在桌面快捷访问

二次根式第2课时课件VIP免费

二次根式第2课时课件_第1页
1/15
二次根式第2课时课件_第2页
2/15
二次根式第2课时课件_第3页
3/15
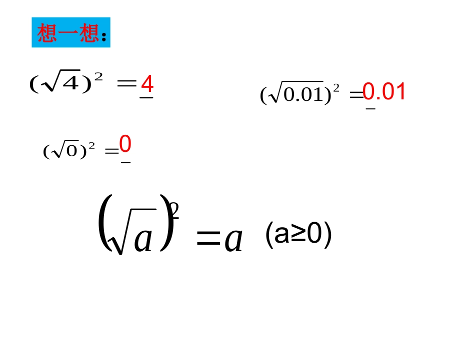
16.1二次根式(2)学科网.的式子叫做二次根式形如a)0(a二次根式的定义:二次根式的性质:(双重非负性.0,0aa复习回忆2)4(2)01.0(2)0(aa2(a≥0)040.01想一想:例1:计算222(1)(1.5)(2)(25)(3)(33)做教材P4的第一题24201.02312040.01310aa2(a≥0)想一想:2)4(2)01.0(23140.0131aa2(a<0)学科网想一想:aa2(a≥0)aa2(a<0)aa2a-a(a≥0)(a<0)例2:化简2225)4()5()3()5()2(16)1(运用新知222210.4.371.23.0.1:.1计算练习:练习2:2yx2211122223yxyx(xy)﹤xy212x(x>0)1x?)(22有区别吗与aa2.从取值范围来看,2a2aa≥0a取任何实数1:从运算顺序来看,2a2a先开方,后平方先平方,后开方3.从运算结果来看:=aa(a≥0)2a2a-a(a<0)==a∣∣化简下列各式:)0,0()4()8(6416)3()5()5()2()32()23)(1(2222222babammm练习22)()(,,,)2(cabcbaABCcba化简的三边长为△已知练习(2003年·河南省)实数p在数轴上的位置如图所示,化简222)1(pp121)2(1pppp拓展

1、当您付费下载文档后,您只拥有了使用权限,并不意味着购买了版权,文档只能用于自身使用,不得用于其他商业用途(如 [转卖]进行直接盈利或[编辑后售卖]进行间接盈利)。
2、本站所有内容均由合作方或网友上传,本站不对文档的完整性、权威性及其观点立场正确性做任何保证或承诺!文档内容仅供研究参考,付费前请自行鉴别。
3、如文档内容存在违规,或者侵犯商业秘密、侵犯著作权等,请点击“违规举报”。

碎片内容

二次根式第2课时课件

精品文库+ 关注
实名认证
内容提供者

小学学习各类资料大全

相关文档

确认删除?
VIP
微信客服
  • 扫码咨询
会员Q群
  • 会员专属群点击这里加入QQ群
客服邮箱
回到顶部