电脑桌面
添加小米粒文库到电脑桌面
安装后可以在桌面快捷访问

有机化学的发展和前景VIP免费

有机化学的发展和前景_第1页
1/15
有机化学的发展和前景_第2页
2/15
有机化学的发展和前景_第3页
3/15
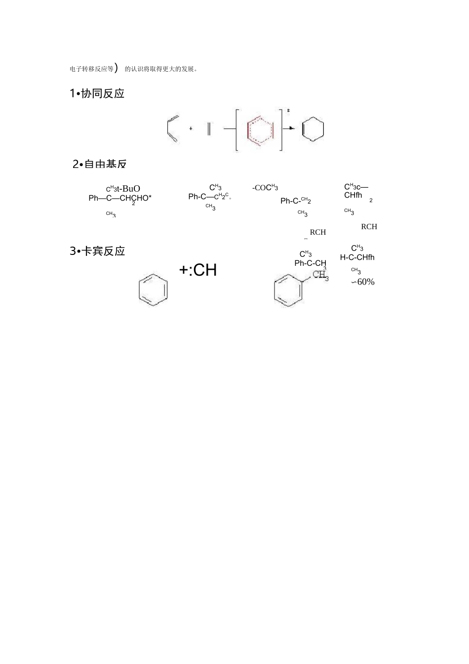
有机化学的发展和前景在人类多姿多彩的生活中,化学可以说是无处不在的。据统计,在工业发达国家的全部生产中,化学过程的工业占高比例,以美国为例占到30%。有机化学是研究有机化合物的来源、制备、结构、性能、应用以及有关理论和方法的学科。自从1828年合成尿素以来,有机化学的发展是日新月异,其发展速度越来越快。近两个世纪来,有机化学学科的发展,揭示了构成物质世界的有机化合物分子中原子链合的本质以及有机分子转化的规律,并设计、合成了具有特定性能的有机分子;它又为相关学科(如材料科学、生命科学、环境科学等)的发展提供了理论、技术和材料。有机化学是一系列相关工业的基础,在能源、信息、材料、人口与健康、环境、国防计划的实施中,在为推动科技发展、社会进步,提高人类的生活质量,改善人类的生存环境的努力中,已经并将继续显示出它的高度开创性和解决重大问题的巨大能力。此外有机化学还是一门极具创新性的学科。在有机化学的发展中,它的理论和方法也得到了长足的进步。建立在现代物理学(特别是量子力学)和物理化学基础上的物理有机化学,在定量的研究有机化合物的结构、反应性和反应机理等方面所取得的成果,不仅指导着有机合成化学,而且对生命科学的发展也有重大意义。有机合成化学在高选择性反应的研究,特别是不对称催化方法的发展,使得更多具有高生理活性、结构新颖分子的合成成为可能。金属有机化学和元素有机化学,为有机合成化学提供了高选择性的反应试剂和催化剂,以及各种特殊材料及其加工方法。有机化学以它特有的分离、结构测定、合成等手段,已经成为人类认识自然、改造自然具有非凡能动性和创造力的武器。近年来,计算机技术的引入,使有机化学在结构测定、分子设计和合成设计上如虎添翼,发展得更为迅速。同时,组合化学的发展不仅为有机合成提出了一个新的研究内容,而且也使高通量的自动化合成有机化合物成为现实。在21世纪,有机化学面临新的发展机遇。一方面,随着有机化学本身的发展及新的分析技术、物理方法以及生物学方法的不断涌现,人类在了解有机化合物的性能、反应以及合成方面将有更新的认识和研究手段;另一方面,材料科学和生命科学的发展,以及人类对于环境和能源的新的要求,都给有机化学提出新的课题和挑战。有机化学将在物理有机化学,有机合成化学,天然产物化学,金属有机化学,化学生物学,有机分析和计算化学,农药化学,药物化学,有机材料化学等各个方面得到发展。一、物理有机化学物理有机化学是用物理化学的方法研究有机化学问题的科学,是一门指导有机化学其他学科发展的学科。它研究有机化合物的结构和性能、有机化学反应如何发生和为什么发生,从中找出规律,指导设计、合成新的物种,预见和发现新的有机化学现象。如有机化合物的结构与性能的关系,现代光谱、波谱和显微技术的发展为表征分子结构提供了基础。它对原有的各种反应机理和活泼中间体(协同反应、自由基反应、离子型反应、卡宾反应、激发态反应、2•自由基反CH3t-BuOPh—C—CHCHO*2CH3CH3Ph-C—CH2C。CH3Ph-C-CH2CH3RCHOCH3c—CHfh2CH3RCHOCH3Ph-C-CH3CH3CH3H-C-CHfhCH3〜60%+:CH电子转移反应等)的认识将取得更大的发展。1•协同反应3•卡宾反应-COCH3H二、有机合成化学4•电子转移反应/\Z\W-ZX/C-1I*"叫do畸佥「I“r咼心?气too%在迄今己知的众多种有机分子中,大多是通过有机合成途径获得的。通过有机合成化学的硏究,不但可以从概念、理论、方法诸方面丰富和发展有机化学学科,而且也为化工、制药等相关产业提供了科学基础。21世纪,有机合成化学面临着新的机遇与挑战,生命科学、材料科学和环境科学的发展对有机合成化学家提出了新的、更高的要求,即发展"理想的"合成方法:强调实用的、环境友好的、资源可持续利用的,它能够从简单的原料出发,在温和条件下经过简单的步骤,快速、高选择性地转化为目标分子。这就要求有机合成化学家适应新的要求,主动参与其他学科的硏究,从中开辟合成化学的新天地。由于现行的有机合成方法极少能够达到"理想的"境地,要想达到这样的"绿色合成"的目标,化学家们需要从理念、原理、方法诸方面进行变革与创新。如从...

1、当您付费下载文档后,您只拥有了使用权限,并不意味着购买了版权,文档只能用于自身使用,不得用于其他商业用途(如 [转卖]进行直接盈利或[编辑后售卖]进行间接盈利)。
2、本站所有内容均由合作方或网友上传,本站不对文档的完整性、权威性及其观点立场正确性做任何保证或承诺!文档内容仅供研究参考,付费前请自行鉴别。
3、如文档内容存在违规,或者侵犯商业秘密、侵犯著作权等,请点击“违规举报”。

碎片内容

有机化学的发展和前景

确认删除?
VIP
微信客服
  • 扫码咨询
会员Q群
  • 会员专属群点击这里加入QQ群
客服邮箱
回到顶部