电脑桌面
添加小米粒文库到电脑桌面
安装后可以在桌面快捷访问

高三数学:利用平均不等式求最大(小)值教案VIP免费

高三数学:利用平均不等式求最大(小)值教案_第1页
1/4
高三数学:利用平均不等式求最大(小)值教案_第2页
2/4
高三数学:利用平均不等式求最大(小)值教案_第3页
3/4
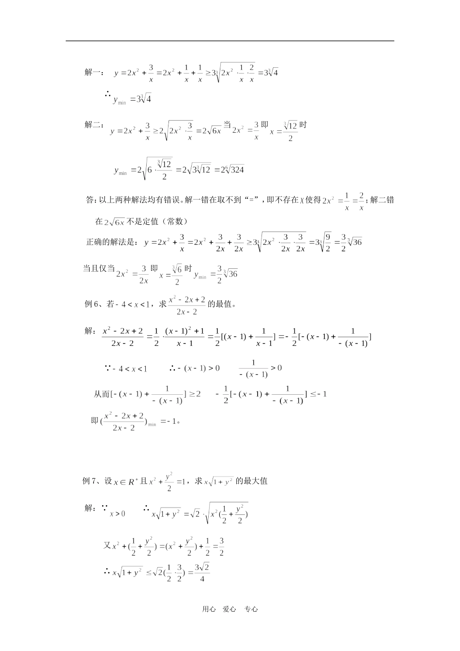
rhaOA利用平均不等式求最大(小)值课题:目的要求:重点难点:教学过程:一、引入:1、重要的结论:已知x,y都是正数,则:(1)、如果积xy是定值P,那么当x=y时,和x+y有最小值;(2)、如果和x+y是定值S,那么当x=y时,积xy有最大值。二、典型例题:例1、当取什么值时,函数有最小值?最小值是多少?例2、求函数()的最小值。例3、小宁在某电脑城配置了一台总费用为6400元的电脑。假定在电脑的使用过程中,每年的维修费用约为:第一年为200元,第二年400元,第三年600元,…,按等差数列递增。这台电脑使用多少年报废最合算?分析:例4、如图,电灯挂在圆桌的正中央上方。假定它与桌面上A点的水平距离是,那么电灯距离桌面的高度等于多少时,A点处最亮?(亮度公式:,这里为常数,是电灯到照射点的距离,是照射到某点的光线与水平面所成的角)分析:例5、求函数的最大值,下列解法是否正确?为什么?用心爱心专心解一:∴解二:当即时答:以上两种解法均有错误。解一错在取不到“=”,即不存在使得;解二错在不是定值(常数)正确的解法是:当且仅当即时例6、若,求的最值。解:∵∴从而即。例7、设且,求的最大值解:∵∴又∴用心爱心专心即例8、已知且,求的最小值解:当且仅当即时三、小结:四、练习:1.求下列函数的最值:1、(min=6)2、()2.1、时求的最小值,的最小值2、设,求的最大值(5)3、若,求的最大值4、若且,求的最小值3.若,求证:的最小值为34.制作一个容积为的圆柱形容器(有底有盖),问圆柱底半径和高各取多少时,用料最省?(不计加工时的损耗及接缝用料)五、作业:1、将一块边长为的正方形铁皮,剪去四个角(四个全等的正方形),作成一个无盖的铁盒,要使其容积最大,剪去的小正方形的边长为多少?最大容积是多少?解:设剪去的小正方形的边长为则其容积为用心爱心专心当且仅当即时取“=”即当剪去的小正方形的边长为时,铁盒的容积为2、某种汽车购买时的费用是10万元,每年的保险费、养路费及汽油费合计为9千元;汽车的维修费平均为:第一年2千元,第二年4千元,第三年6千元,依等差数列逐年递增。问这种汽车使用多少年报废最合算(即年平均费用最少)?解:设这种汽车使用n年报废最合算n年汽车的维修总费用为(万元)年平均费用y=当且仅当即n=10时取等号。答:这种汽车使用10年报废最合算。3、设计一幅宣传画,要求画面面积为4840cm2,画面的宽与高的比为λ(λ>1),画面的上、下各留8cm的空白,左、右各留5cm的空白。怎样确定画面的高与宽尺才,能使宣传画所用纸张面积最小?(2001年全国文科高考题)解:设画面的宽为xcm,则画面的高为cm,设纸张面积为SS=当且仅当x=,即x=55cm,此时高答:画面高为88cm,宽为55cm时,能使所用纸张面积最小。评注:在应用均值不等式解决这类实际问题时,应注意:①设变量,一般把要求最大值和最小值的变量设为函数;②建立相应的函数关系式,把实际问题抽象为函数的最值问题;③在定义域内,求函数的最大值或最小值;正确写出答案。用心爱心专心

1、当您付费下载文档后,您只拥有了使用权限,并不意味着购买了版权,文档只能用于自身使用,不得用于其他商业用途(如 [转卖]进行直接盈利或[编辑后售卖]进行间接盈利)。
2、本站所有内容均由合作方或网友上传,本站不对文档的完整性、权威性及其观点立场正确性做任何保证或承诺!文档内容仅供研究参考,付费前请自行鉴别。
3、如文档内容存在违规,或者侵犯商业秘密、侵犯著作权等,请点击“违规举报”。

碎片内容

高三数学:利用平均不等式求最大(小)值教案

您可能关注的文档

雨丝书吧+ 关注
实名认证
内容提供者

乐于和他人分享知识,从事历史教学,热爱教育,高度负责。

相关文档

确认删除?
VIP
微信客服
  • 扫码咨询
会员Q群
  • 会员专属群点击这里加入QQ群
客服邮箱
回到顶部