电脑桌面
添加小米粒文库到电脑桌面
安装后可以在桌面快捷访问

七年级上:一元一次方程50道练习的题目含答案详解VIP免费

七年级上:一元一次方程50道练习的题目含答案详解_第1页
1/6
七年级上:一元一次方程50道练习的题目含答案详解_第2页
2/6
七年级上:一元一次方程50道练习的题目含答案详解_第3页
3/6
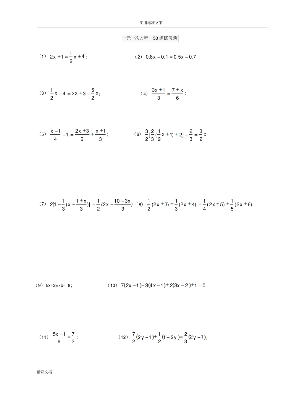
实用标准文案精彩文档一元一次方程50道练习题(1)42112xx;(2)7.05.01.08.0xx(3)xxx2532421;(4)67313xx;(5)31632141xxx;(6)xx2332]2)121(32[23(7))33102(21)]31(311[2xxxx(8))62(51)52(41)42(31)32(21xxxx(9)5x+2=7x-8;(10)01232143127xxx(11)37615x;(12)123221211227yyy;实用标准文案精彩文档(13)2162612xx;(14)22123223xx(15)1212321321xxx;(16)123]8)4121(34[43xx(17))96(328)2135(127xxx(18)296182xxx(19)xxx52%25)100(%30)1(;(20)2435232xxx(21)153121314161x(22)2(2x-1)-4(4x-1)-5(2x+1)-19=0实用标准文案精彩文档(23)212644531313xxx(24)03.002.003.02.05.01.05.09.04.0xxx(25)32212]2)141(32[23xx(26)2{3[4(5x-1)-8]-20}-7=1(27)2(0.3x-4)-5(0.2x+3)=9(28)2[(x+3)-2(x+1)]-5=0(29)3x-6222163)3(2xxx(30)6.12.0415.03xx(31)1}8]6)432(51[71{91x(32)3x=2x+5(33)2y+3=y-1实用标准文案精彩文档(34)7y=4-3y(35)-y52=31(36)10x+7=12x-5-3x(37)8x―4+2x=4x―3(38).2(3x+4)=6-5(x-7)(39).612513422xxx(40)2)]21(21[21xxx(41)5.32.0202.05.201.0)12(2xx(42)543322)5(xxxx(43)41.550.81.230.50.20.1xxx(44).x-31x=62x-1实用标准文案精彩文档(45)5.09.04.0y-25y=3.02.03.0y(46)3(x+2)-31(2x-3)=2(2x-3)-21(x+2)(47)31{31[31(31x-2)-2]}-2=0(48)5(y+8)―5=4(2y―7);(49)、632)331(2332xxx;(50)、3.04.05233.12.188.1xxx;实用标准文案精彩文档(1)x=2;(2)x=—2;(3)x=7;(4)x=1;(5)x=—5;(6)x=313;(7)x=72;(8)x=21.(9)x=5;(10)87x;(11)x=3;(12)21y;(13)x=0;(14)x=6;(15)76x;(16)417x.17.98x18.53x1975063522530x202516x21.x=822.x=-123.x=-324.x=925.x=51826.x=127、x=-8028、x=-2329、95230、24.9631、x=132)x=533)y=-434)y=5235)y=-6536)x=-1237)x=6138.x=339.x=-2740.x=61741.52x42、x=6;43、x=-2;44.72x45.9y46.12x47.x=18648、y=2149、x=21;50、x=101;

1、当您付费下载文档后,您只拥有了使用权限,并不意味着购买了版权,文档只能用于自身使用,不得用于其他商业用途(如 [转卖]进行直接盈利或[编辑后售卖]进行间接盈利)。
2、本站所有内容均由合作方或网友上传,本站不对文档的完整性、权威性及其观点立场正确性做任何保证或承诺!文档内容仅供研究参考,付费前请自行鉴别。
3、如文档内容存在违规,或者侵犯商业秘密、侵犯著作权等,请点击“违规举报”。

碎片内容

七年级上:一元一次方程50道练习的题目含答案详解

您可能关注的文档

确认删除?
VIP
微信客服
  • 扫码咨询
会员Q群
  • 会员专属群点击这里加入QQ群
客服邮箱
回到顶部