电脑桌面
添加小米粒文库到电脑桌面
安装后可以在桌面快捷访问

中科院数学分析试题答案VIP免费

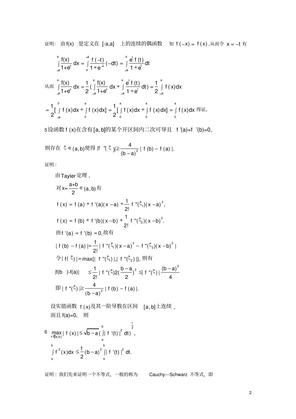
中科院数学分析试题答案_第1页
1/6
中科院数学分析试题答案_第2页
2/6
中科院数学分析试题答案_第3页
3/6
1中国科学院数数学分析试题1求a,b使下列函数在x=0处可导:21axbyx当x0;当x<0.解:由于函数在x=0处可导,从而连续,由(00),(00)1fbf得到b=1;又由(0),(0)0faf得到a=0.即得。21110,,.1nnnann1已知级数发散求证级数也发散aa证明:用反证法。由0na知1nn1级数a,111nna均为正项级数。假设级数111nna收敛,则1lim01nna,于是有11limlimlim1111111nnnnnnaaann1aa,从而由正项级数的比较判别法知级数1nn1a收敛,矛盾,从而得证。310(1).nxdxm设m,n0为整数,求积分x的值解:1011111n100(1),1I(m,n)=(1-x)(1)|(1)(1)(1,1).01111nmmmnnxdxxxxndxnxdxImnmmmmm设I(m,n)=x则由分部积分法有从而111(,)(1,1)(2,2)(,0)11212nnnnnImnImnImnImnmmmmmmn!1!!()!1(1)!!nmnmnmnmnm即得解。40().aaadxfxdxxf(x)设a>0,f(x)是定义在[-a,a]上的连续的偶函数,则1+e2证明:由f(x)是定义在[-a,a]上的连续的偶函数知()()fxfx,从而令xt有()()()11aaatttaaafteftdxdtdteexf(x)1+e从而1()1()()212aaaattaaaaeftdxdxdtfxdxexxf(x)f(x)1+e1+e0000011[()()][()()]()22aaaaafxdxfxdxfxdxfxdxfxdx得证。5()[,]fxab设函数在含有的某个开区间内二次可导且f(a)=f(b)=0,24(,)||()()|.()abfbfaba则存在使得|f(证明:2122221212(,)1()()'()()''()(),2!1()()'()()''()().2!'()'()0,1|()()||''()()''()()|2!)|max{|''()|,|''()|},Taylerabfxfafaxafxafxfbfbxbfxbfafbfbfafxafxbfff由定理,a+b对x=有2而故有令|(则有|f(b2221()|''()2()|''()|2!244|''()||()()|.()babaffffbfaba)-f(a)|即6122[,]222()[,],|()|(|'()|),1()()|'()|.2bababbaafxabfxbaftdtfxdxbaftdtx设实值函数及其一阶导数在区间上连续而且f(a)=0,则max证明:我们先来证明一个不等式,一般的称为Cauchy---Schwarz不等式,即3定理1112222()()(())(())(,[,])bbbaaafxgxdxfxdxgxdxfgab是上的可积函数22222222222()()(),()()2()()t(),ab,()()2()()t(),(2()())4()()0..bbbbaaaabbbaaahxfxtgxhxfxtfxgxgxhxdxfxdxtfxgxdxgxdxtfxgxdxfxdxgxdx设则两边从到取积分有由等式右边对都成立知即证40000000022022202:(1)|()||()|,|()||()||()||()||()|(|()|)|()|1()|()|()|()|xxaaxaxxxaaabafxfxNewtonLeibnizfxfaftdtftdtfxftdtftdtdtxaftdtbaftdtx[a,b]下面我们来证明题目设max则有公式有即两边开方即得证。(2)同样,由Ne222222222222''()(')'()1x'()[()'()]()['()]2()()'()|'()22(xxaabbxaaabxaaxbaafffxfftdtdtfxdxxaftdtdxxaftdtdbxaxaftdtfxdxaxxaaxawton-Leibniz公式有f(x)=f(a)+(t)dt(t)dt即(t)dt等式两边从a到b积分有22)'()2babaftdt又得证。72222nDCu()CDuudsdxdynuu设是平面区域的正向边界线的外法线,则证明:2222Green()()CCDuuuuudsdydxdxdynxyuu由公式有8设曲线2222x:1yab的周长和所围成的面积分别为L和S,还令52222(2)Jbxxyayds,则22SLJ.证明:由对称性知222222(2)Jbxxyaydsabds22222222abSLabLL91n110(1)32nn3dx计算积分的值,并证明它也等于数项级数的和。1+x解:10I3dx设=,1+x1132001201201220120I1(1)(1)111x2()313x1111213ln(1)|036111111ln2ln(1)|0362121d()1312333ln2ln2arctan21333331()313ln239dxdxxxxxdxxxxxdxxxxxdxxxxx则为证明n11(1)32nn=I,我们先来证明一个定理:定理2设0()nnnfxax在|x|

1、当您付费下载文档后,您只拥有了使用权限,并不意味着购买了版权,文档只能用于自身使用,不得用于其他商业用途(如 [转卖]进行直接盈利或[编辑后售卖]进行间接盈利)。
2、本站所有内容均由合作方或网友上传,本站不对文档的完整性、权威性及其观点立场正确性做任何保证或承诺!文档内容仅供研究参考,付费前请自行鉴别。
3、如文档内容存在违规,或者侵犯商业秘密、侵犯著作权等,请点击“违规举报”。

碎片内容

中科院数学分析试题答案

您可能关注的文档

确认删除?
微信客服
  • 扫码咨询
会员Q群
  • 会员专属群点击这里加入QQ群