电脑桌面
添加小米粒文库到电脑桌面
安装后可以在桌面快捷访问

云南大学数学分析2009——2010学第一学期试题VIP免费

云南大学数学分析2009——2010学第一学期试题_第1页
1/3
云南大学数学分析2009——2010学第一学期试题_第2页
2/3
云南大学数学分析2009——2010学第一学期试题_第3页
3/3
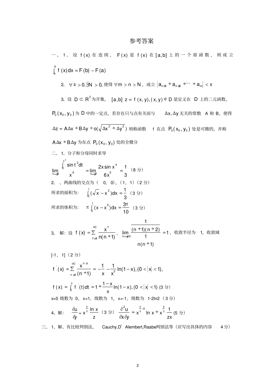
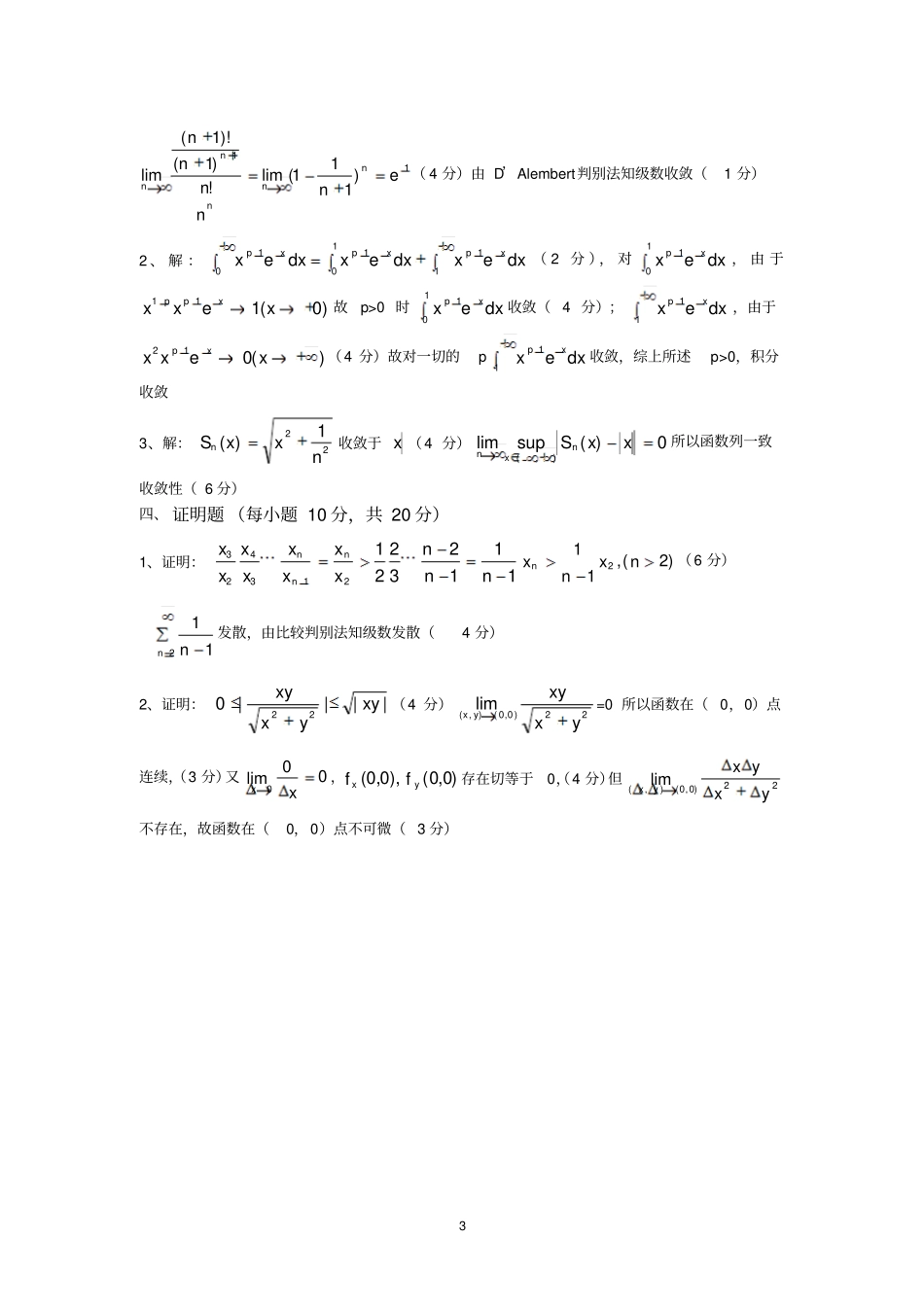
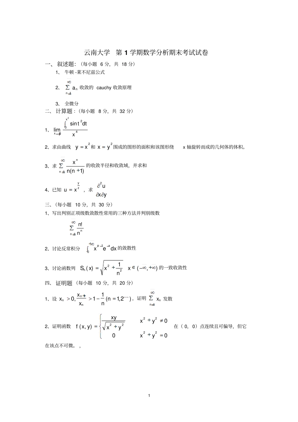
1云南大学第1学期数学分析期末考试试卷一、叙述题:(每小题6分,共18分)1、牛顿-莱不尼兹公式2、1nna收敛的cauchy收敛原理3、全微分二、计算题:(每小题8分,共32分)1、40202sinlimxdttxx2、求由曲线2xy和2yx围成的图形的面积和该图形绕x轴旋转而成的几何体的体积。3、求1)1(nnnnx的收敛半径和收敛域,并求和4、已知zyxu,求yxu2三、(每小题10分,共30分)1、写出判别正项级数敛散性常用的三种方法并判别级数1!nnnn2、讨论反常积分01dxexxp的敛散性3、讨论函数列),(1)(22xnxxSn的一致收敛性四、证明题(每小题10分,共20分)1、设)2,1(11,01nnxxxnnn,证明1nnx发散2、证明函数000),(222222yxyxyxxyyxf在(0,0)点连续且可偏导,但它在该点不可微。,2参考答案一、1、设)(xf在连续,)(xF是)(xf在],[ba上的一个原函数,则成立)()()(aFbFdxxfba2、,0.0N使得Nnm,成立mnnaaa213、设2RD为开集,],[baDyxyxfz),(),,(是定义在D上的二元函数,),(000yxP为D中的一定点,若存在只与点有关而与yx,无关的常数A和B,使得)(22yxoyBxAz则称函数f在点),(000yxP处是可微的,并称yBxA为在点),(000yxP处的全微分二、1、分子和分母同时求导316sin2limsinlim54060202xxxxdttxxx(8分)2、、两曲线的交点为(0,0),(1,1)(2分)所求的面积为:31)(102dxxx(3分)所求的体积为:103)(105dxxx(3分)3、解:设1)1()(nnnnxxf,1)1(1)2)(1(1limnnnnn,收敛半径为1,收敛域[-1,1](2分)),10(),1ln(11)1()(121'xxxxnxxfnn)10(),1ln(11)()(0'xxxxdttfxfx(3分)x=0级数为0,x=1,级数为1,x=-1,级数为1-2ln2(3分)4、解:yu=zxxzyln(3分)yxu2zxxxxzyzy1ln1(5分)三、1、解、有比较判别法,Cauchy,D’Alembert,Raabe判别法等(应写出具体的内容4分)311)111(lim!)1()!1(limennnnnnnnnn(4分)由D’Alembert判别法知级数收敛(1分)2、解:1110101dxexdxexdxexxpxpxp(2分),对101dxexxp,由于)0(111xexxxpp故p>0时101dxexxp收敛(4分);11dxexxp,由于)(012xexxxp(4分)故对一切的p11dxexxp收敛,综上所述p>0,积分收敛3、解:221)(nxxSn收敛于x(4分)0)(suplim),(xxSnxn所以函数列一致收敛性(6分)四、证明题(每小题10分,共20分)1、证明:11123221213423nnnxxxxxxxxnnn)2(,112nxnxn(6分)211nn发散,由比较判别法知级数发散(4分)2、证明:||||022xyyxxy(4分)22)0,0(),(limyxxyyx=0所以函数在(0,0)点连续,(3分)又00lim0xx,)0,0(),0,0(yxff存在切等于0,(4分)但22)0,0(),(limyxyxyx不存在,故函数在(0,0)点不可微(3分)

1、当您付费下载文档后,您只拥有了使用权限,并不意味着购买了版权,文档只能用于自身使用,不得用于其他商业用途(如 [转卖]进行直接盈利或[编辑后售卖]进行间接盈利)。
2、本站所有内容均由合作方或网友上传,本站不对文档的完整性、权威性及其观点立场正确性做任何保证或承诺!文档内容仅供研究参考,付费前请自行鉴别。
3、如文档内容存在违规,或者侵犯商业秘密、侵犯著作权等,请点击“违规举报”。

碎片内容

云南大学数学分析2009——2010学第一学期试题

您可能关注的文档

确认删除?
VIP
微信客服
  • 扫码咨询
会员Q群
  • 会员专属群点击这里加入QQ群
客服邮箱
回到顶部