电脑桌面
添加小米粒文库到电脑桌面
安装后可以在桌面快捷访问

仪器分析计算例题VIP免费

仪器分析计算例题_第1页
1/10
仪器分析计算例题_第2页
2/10
仪器分析计算例题_第3页
3/10
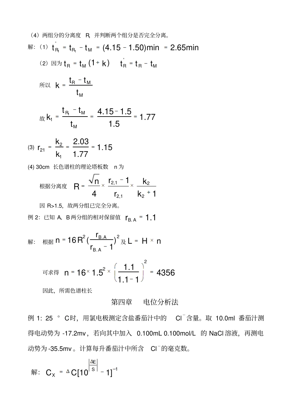
第二章气相色谱分析例1:在一根90米长的毛细管色谱柱上测得各组分保留时间:正十四烷15.6min;正十五烷21.95min;正十六烷31.9min。计算色谱柱的死时间及载气平均速度。解:方法一:同系物保留值之间存在以下关系:以()RMtt代替'Rt可推导出:2(1)(1)()(1)()()(1)()()RnRnRnMRnRnRnRntttttttt将正十四烷、正十五烷、正十六烷的保留时间代入公式:231.915.621.95min(31.921.95)(21.9515.6)Mt得4.40minMt载气的平均流速/MuLt,即90100/(4.4060)/34.09/ucmscms方法二:直接用甲烷测定死时间。即以甲烷的保留时间作为死时间。例2:在一根2m长的色谱柱上,A、B、C、三组分的保留时间分别为2.42min、3.21min、5.54min;峰宽分别为0.12min、0.21min、0.48min。另测得甲烷的保留时间为1.02min。求:(1)A、B、C组分的调整保留时间;(2)A与B、B与C组分的相对保留时间;(3)A、B、C组分的容量因子;(4)A、B、C组分的有效塔板数和塔板高度;(5)A与B、B与C组分的分离度;解:(1)'(1)(1)RRMttt第三章高效液相色谱分析例1:高效液相色谱法分离两个组分,色谱柱长30cm。已知在实验条件下,色谱柱对组分2的柱效能为26800m-1,死时间1.5minMt.组分的保留时间124.15min,4.55min.RRtt计算:(1)两组分在固定相中的保留时间12'',;RRtt(2)两组分的分配比12;,kk(3)选择性因子2,1;r(4)两组分的分离度R,并判断两个组分是否完全分离。解:(1)11'(4.151.50)min2.65minRRMttt(2)因为(1)RMttk'RRMttt所以RMMttkt故114.151.51.771.5RMMttkt(3)22112.031.151.77krk(4)30cm长色谱柱的理论塔板数n为根据分离度2,122,12141rnkRrk因R>1.5,故两分组已完全分离。例2:已知A、B两分组的相对保留值.1.1BAr解:根据22..16()1BABArnRr及LHn可求得221.1161.543561.11n因此,所需色谱柱长第四章电位分析法例1:25°C时,用氯电极测定含盐番茄汁中的Cl—含量。取10.0ml番茄汁测得电动势为-17.2mv,若向其中加入0.100mL0.100mol/L的NaCl溶液,再测电动势为-35.5mv。计算每升番茄汁中所含Cl—的毫克数。解:1[101]ESXCC例2:25°C时,用0.100mol/L4Ce溶液电位滴定20.00mL0.100mol/L2Sn溶液。用Pt电极(正极)和饱和甘汞电极(负极)组成电池,计算:(2)化学计量点时电池的电动势;(3)加入10.00mL4Ce时的电动势。已知0.24sceV43/1.61CeCeV42/0.15SnSnV解:(1)11.61+20.15=0.6371+2VV计量点(2)244322SnCeSnCe溶液中2Sn量:20.000.1002.00mmolmmol加入4Ce量:10.000.1001.00mmolmmol余2Sn量:(2.001.00/2)1.50mmolmmol生成4Sn量:0.500mmol用42/SnSn电对计算,第五章伏安分析法例1:用极谱法测定MgCl2溶液中的微量Cd2+取试液5.0ml,加入0.04%明胶5.0ml,用水稀释至50ml,通N25min~10min后记录极谱图,得波高50A。另取试液5.0ml,加入0.5mg/mlCd2+标准溶液1.0ml,混合均匀,再按上述测定步骤同样处理,记录极谱图,波高为90A.计算试样中Cd2+的含量。解:根据极谱法的定量公式,扩散电流(即极谱波高)与Cd2+的浓度成正比:dikc样品加标前:1150,/dxiACCmgmL样品加标后:290diA解以下方程组得:得试样中的Cd2+的含量Cx=0.125mg/mL例2:用阳极溶出伏安法测定水样中的222,,PbCdCu含量。取水样4.00ml,加入到盛有46.0ml支持电解质溶液的电解池中,通N22min,富集1min,静置30秒后将工作电极的电位向正方向扫描,测得222,,PbCdCu的溶出峰高分别为12mm,26mm,18mm。在上述溶液中加入0.10ml22(10.00/),(2.00/),PbmgLCdmgL2(5.00/)CumgL的标准溶液,同样进行富集和溶出,测量到溶出峰的峰高分别为20mm,45mm,32mm,计算水样中的222,,PbCdCu的含量。解:根据溶出伏安法的定量公式,溶出峰电流(即溶出峰高)与被测离子浓度成正比:hkc设被测离子的浓度为xCmg/L,则加标前电解池中被测离子浓度:14.00/50.0/xCCmgL加标后电解池中被测离子浓度:24.00/50.0/50.0xssCCCV1122hkchkc分别将222,,PbCdCu加标前后的溶出峰高12/20,26/45,18/32,mmmmmm标准浓度10.00/,2.00/,5.00/mgLmgLmgL加标体积0.1代入方程组,解得:水样中的2Pb的含量:0.375/mgL;2Cd的含量:27.6510/mgL2Cu的含量:0.161/mgL.第六章库伦分析法例1:用铂电极电解...

1、当您付费下载文档后,您只拥有了使用权限,并不意味着购买了版权,文档只能用于自身使用,不得用于其他商业用途(如 [转卖]进行直接盈利或[编辑后售卖]进行间接盈利)。
2、本站所有内容均由合作方或网友上传,本站不对文档的完整性、权威性及其观点立场正确性做任何保证或承诺!文档内容仅供研究参考,付费前请自行鉴别。
3、如文档内容存在违规,或者侵犯商业秘密、侵犯著作权等,请点击“违规举报”。

碎片内容

仪器分析计算例题

您可能关注的文档

确认删除?
VIP
微信客服
  • 扫码咨询
会员Q群
  • 会员专属群点击这里加入QQ群
客服邮箱
回到顶部