电脑桌面
添加小米粒文库到电脑桌面
安装后可以在桌面快捷访问

保险精算学期末复习题目VIP免费

保险精算学期末复习题目_第1页
1/11
保险精算学期末复习题目_第2页
2/11
保险精算学期末复习题目_第3页
3/11
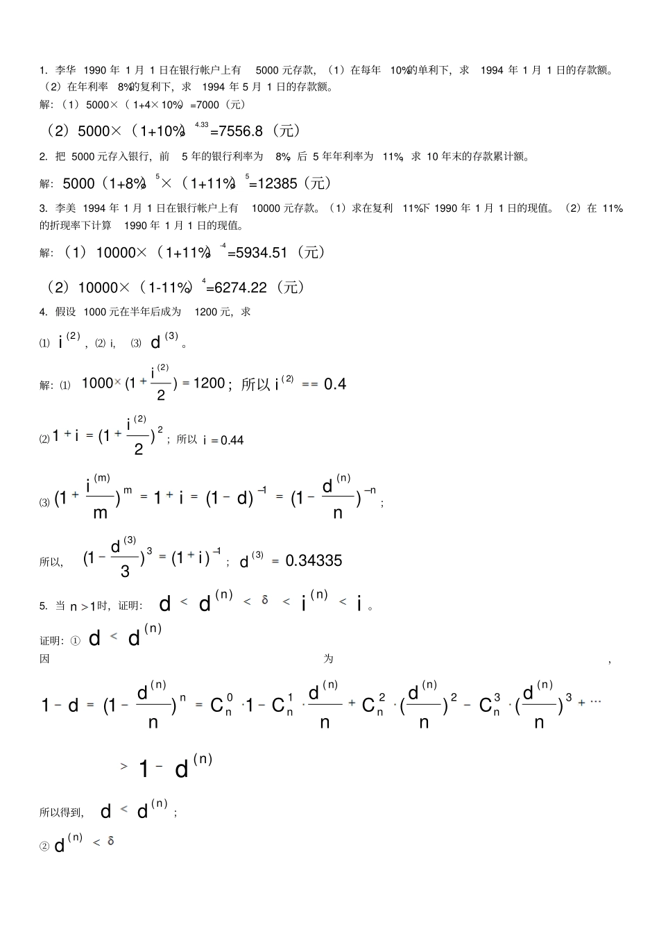
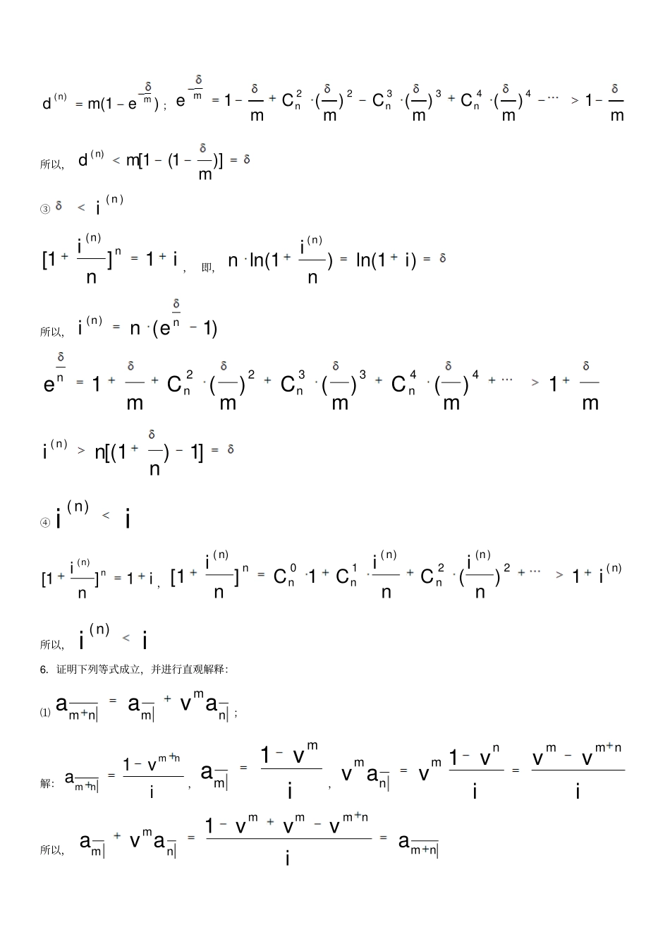
1.李华1990年1月1日在银行帐户上有5000元存款,(1)在每年10%的单利下,求1994年1月1日的存款额。(2)在年利率8%的复利下,求1994年5月1日的存款额。解:(1)5000×(1+4×10%)=7000(元)(2)5000×(1+10%)4.33=7556.8(元)2.把5000元存入银行,前5年的银行利率为8%,后5年年利率为11%,求10年末的存款累计额。解:5000(1+8%)5×(1+11%)5=12385(元)3.李美1994年1月1日在银行帐户上有10000元存款。(1)求在复利11%下1990年1月1日的现值。(2)在11%的折现率下计算1990年1月1日的现值。解:(1)10000×(1+11%)-4=5934.51(元)(2)10000×(1-11%)4=6274.22(元)4.假设1000元在半年后成为1200元,求⑴)2(i,⑵i,⑶)3(d。解:⑴1200)21(1000)2(i;所以4.0)2(i⑵2)2()21(1ii;所以44.0i⑶nnmmnddimi)1()1(1)1()(1)(;所以,13)3()1()31(id;34335.0)3(d5.当1n时,证明:iiddnn)()(。证明:①)(ndd因为,3)(32)(2)(10)()()(1)1(1ndCndCndCCnddnnnnnnnnn)(1nd所以得到,)(ndd;②)(nd)1()(mnemd;mmCmCmCmennnm1)()()(1443322所以,)]1(1[)(mmdn③)(niininn1]1[)(,即,)1ln()1ln()(ininn所以,)1()(nnenimmCmCmCmennnn1)()()(1443322]1)1[()(nnin④iin)(ininn1]1[)(,)(2)(2)(10)(1)(1]1[nnnnnnnniniCniCCni所以,iin)(6.证明下列等式成立,并进行直观解释:⑴nmmnmavaa;解:ivanmnm1,ivamm1,ivvivvavnmmnmnm1所以,nmnmmmnmmaivvvava1⑵nmmnmsvaa;解:ivanmnm1,ivamm1,ivvsvnmmnm所以,nmnmmmnmmaivvvsva1⑶nmmnmaiss)1(;解:iismm1)1(,iiiiiisimnmnmnm)1()1(1)1()1()1(所以,nmmnmmnmmsiiiiais)1()1(1)1()1(⑷nmmnmaiss)1(。解:(同上题)略。7.某人今年30岁,其计划每年初存300元,共存30年建立个人存款能从60岁退休开始每年年末得到固定金额,共能领取20年。假设存款利率在前十年为6%,后20年为12%,求每年能取的养老金额。解:210220211012020210301)1()1(1)1()1(iiiiisiss所以60岁时存款有5.5975930030s(元)由此知,2020saX,可得X=7774.12(元)8.某单位在20年内每年存入银行5000元建立职工奖励基金。从存入最后一笔款后的第2年起,每年提取固定金额奖励一名有突出贡献的职工,这种奖励形式将永远持续下去。假设存款的利率为8%,求每次能够提取的最大金额。解:82.2288095000120siXAX。所以79.18304X(元)9.证明:⑴nnnasaia1;证明:nnnnaiiivva11iis1)1(1,所以nnasa1⑵nnea1;nnnnneeiva1)(1)1(11⑶1nnes。证明:11)(1)1(nnnneeis10.假设每年第一年收付200元,以后每隔一年增加收付100元,增加到一次收付1000元时不在增加,并一直保持每年1000元的水平连续收付。假设年利率为12%,求这一年金的现值。解:94.436211000)1(8100)1(1001000)(100100988191viiiaiaIaaa1.依据生命表的基础填充下表:xxlxdxpxq010001000.90.119001505/61/627501500.80.236003000.50.543001800.40.6512012001603.已知)1201(1000xlx,计算:⑴0l,120l,33d,3020p,2030q;⑵25岁的人至少再活20,最多活25年的概率;⑶三个25岁的人均存活到80岁的概率。解:⑴1000)12001(10000l;0)1201201(1000120l32512011000343333lld9730503020llp;3.02050202030lllq⑵19125504525520lllq⑶074646449.0)198()(3325802555llp4.若)(100000xcxclx,4400035l,求:⑴c的值;⑵生命表中的最大年龄;⑶从出生存活到50岁的概率;⑷15岁的人在40~50岁之间死亡的概率。解:⑴44000)3535(10000035ccl。所以,c=90⑵0)9090(100000xxlx,所以,90⑶134050050llp⑷32155040151052lllq。5.证明并作直观解释:⑴xmnxnxmnppq;证明:xmnxnxmnxxnxxmnxnxxmnpplllllllq⑵nxxnxnqpq;证明:nxxnnxnxxnxxnxxnxnxxnqplllllllllq11⑶nxmxnxmnppp。证明:nxmxnnxmnxxnxxmnxxmnppllllllp6.证明:⑴xxtxtxldtl0;⑵xtxxtdtp01;⑶)(txxxtxtppx;⑷txxtxtppt。证明:⑴xxxxxxtxtxllllldtl00⑵xxxxxxtxxxtxtxxtxtxxtllldlldlllldtp0001)(1111;⑶)()()()(2txxxtxxtxtxxtxxtxxtxxtxxxtxxtxxtplDllDllllDllDlllDllDlllxpx⑷txxttxtxxtxxtxxtxxtplDllllDlllxpt)(。7.分别在死亡均匀分布,死亡...

1、当您付费下载文档后,您只拥有了使用权限,并不意味着购买了版权,文档只能用于自身使用,不得用于其他商业用途(如 [转卖]进行直接盈利或[编辑后售卖]进行间接盈利)。
2、本站所有内容均由合作方或网友上传,本站不对文档的完整性、权威性及其观点立场正确性做任何保证或承诺!文档内容仅供研究参考,付费前请自行鉴别。
3、如文档内容存在违规,或者侵犯商业秘密、侵犯著作权等,请点击“违规举报”。

碎片内容

保险精算学期末复习题目

您可能关注的文档

文库响当当+ 关注
实名认证
内容提供者

该用户很懒,什么也没介绍

相关文档

确认删除?
VIP
微信客服
  • 扫码咨询
会员Q群
  • 会员专属群点击这里加入QQ群
客服邮箱
回到顶部