电脑桌面
添加小米粒文库到电脑桌面
安装后可以在桌面快捷访问

湖南省师范大学附属中学高三数学总复习 第三章 不等式教案VIP免费

湖南省师范大学附属中学高三数学总复习 第三章 不等式教案_第1页
1/3
湖南省师范大学附属中学高三数学总复习 第三章 不等式教案_第2页
2/3
湖南省师范大学附属中学高三数学总复习 第三章 不等式教案_第3页
3/3
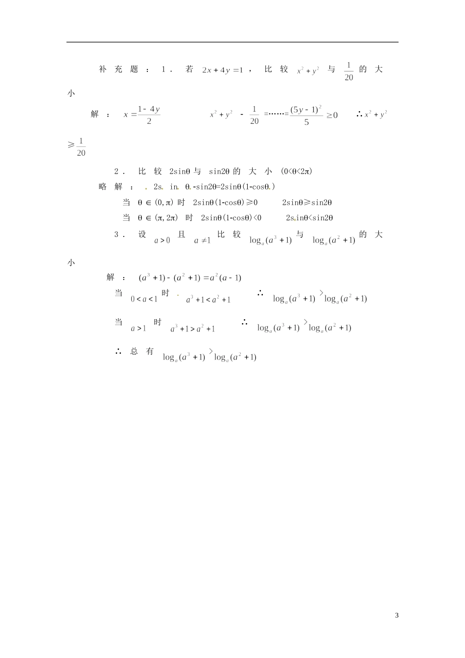
湖南师范大学附属中学高三数学总复习教案:第三章不等式教材:不等式、不等式的综合性质目的:首先让学生掌握不等式的一个等价关系,了解并会证明不等式的基本性质ⅠⅡ。过程:一、引入新课1.世界上所有的事物不等是绝对的,相等是相对的。2.过去我们已经接触过许多不等式从而提出课题二、几个与不等式有关的名称(例略)1.“同向不等式与异向不等式”2.“绝对不等式与矛盾不等式”三、不等式的一个等价关系(充要条件)1.从实数与数轴上的点一一对应谈起2.应用:例一比较与的大小解:(取差)∴<例二已知0,比较与的大小解:(取差)∵∴从而>小结:步骤:作差—变形—判断—结论例三比较大小1.和解:∵∵∴<12.和解:(取差)∵∴当时>;当时=;当时<3.设且,比较与的大小解:∴当时≤;当时≥四、不等式的性质1.性质1:如果,那么;如果,那么(对称性)证:∵∴由正数的相反数是负数2.性质2:如果,那么(传递性)证:∵,∴,∵两个正数的和仍是正数∴∴由对称性、性质2可以表示为如果且那么五、小结:1.不等式的概念2.一个充要条件3.性质1、2六、作业:P5练习P8习题6.11—32补充题:1.若,比较与的大小解:=……=∴≥2.比较2sin与sin2的大小(0<<2)略解:2sinsin2=2sin(1cos)当(0,)时2sin(1cos)≥02sin≥sin2当(,2)时2sin(1cos)<02sin当时∴>∴总有>3

1、当您付费下载文档后,您只拥有了使用权限,并不意味着购买了版权,文档只能用于自身使用,不得用于其他商业用途(如 [转卖]进行直接盈利或[编辑后售卖]进行间接盈利)。
2、本站所有内容均由合作方或网友上传,本站不对文档的完整性、权威性及其观点立场正确性做任何保证或承诺!文档内容仅供研究参考,付费前请自行鉴别。
3、如文档内容存在违规,或者侵犯商业秘密、侵犯著作权等,请点击“违规举报”。

碎片内容

湖南省师范大学附属中学高三数学总复习 第三章 不等式教案

您可能关注的文档

确认删除?
VIP
微信客服
  • 扫码咨询
会员Q群
  • 会员专属群点击这里加入QQ群
客服邮箱
回到顶部