电脑桌面
添加小米粒文库到电脑桌面
安装后可以在桌面快捷访问

湖南省师范大学附属中学高三数学总复习 含参数的不等式的解法教案VIP免费

湖南省师范大学附属中学高三数学总复习 含参数的不等式的解法教案_第1页
1/3
湖南省师范大学附属中学高三数学总复习 含参数的不等式的解法教案_第2页
2/3
湖南省师范大学附属中学高三数学总复习 含参数的不等式的解法教案_第3页
3/3
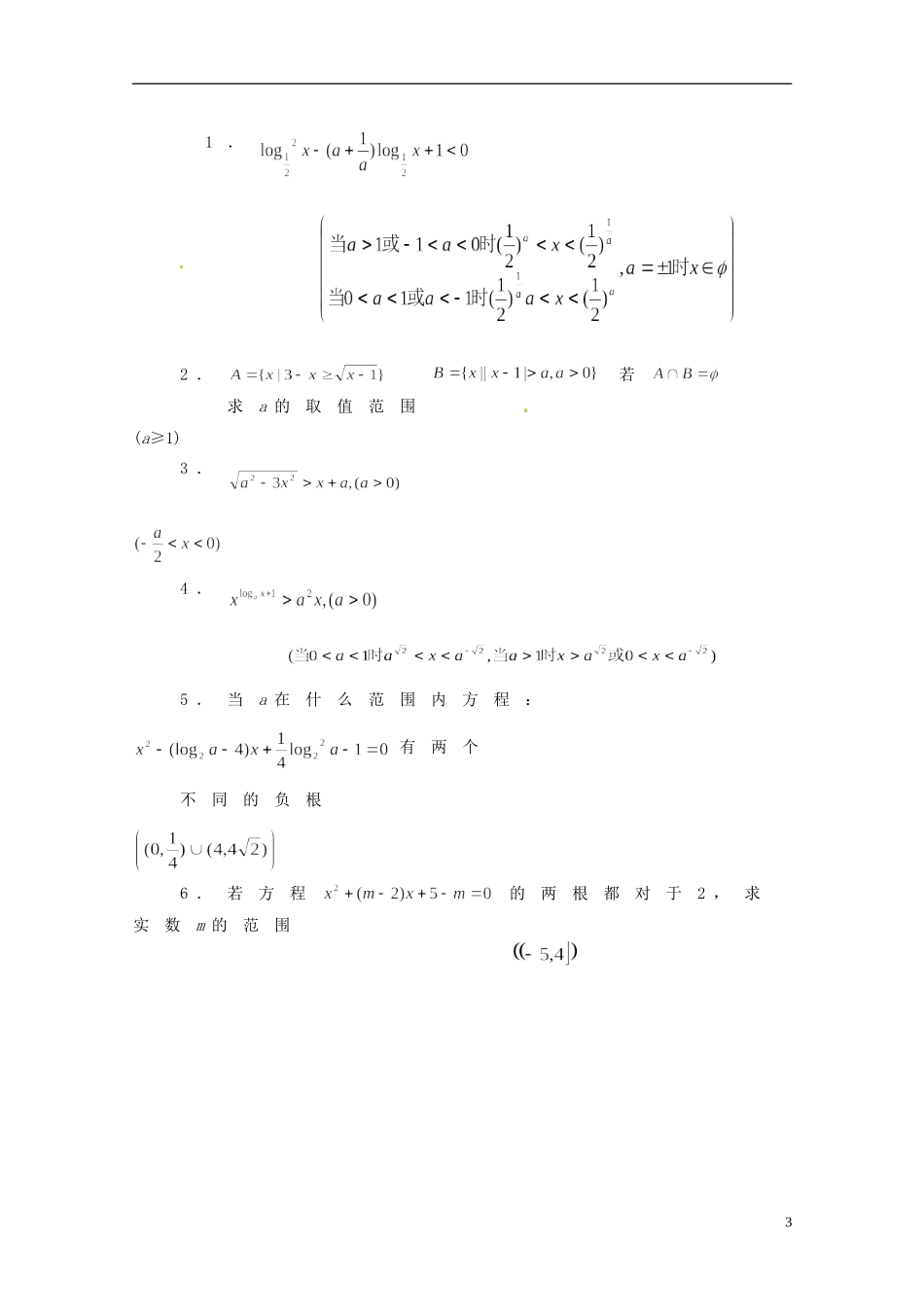
湖南师范大学附属中学高三数学总复习教案:含参数的不等式的解法教材:含参数的不等式的解法目的:在解含有参数的不等式时,要求学生能根据参数的“位置”正确分组讨论,解不等式。过程:一、课题:含有参数的不等式的解法二、例一解关于x的不等式解:原不等式等价于即:∴若a>1若01时∴当m=1时∴xφ当02或x<1当即=时xφ当即(,)时∴11时B=[1,a]当a>2时AB当1≤a≤2时AB当a≤1时A∩B仅含一个元素例六方程有相异两实根,求a的取值范围解:原不等式可化为令:则设又∵a>0三、小结四、作业:21.2.若求a的取值范围(a≥1)3.4.5.当a在什么范围内方程:有两个不同的负根6.若方程的两根都对于2,求实数m的范围3

1、当您付费下载文档后,您只拥有了使用权限,并不意味着购买了版权,文档只能用于自身使用,不得用于其他商业用途(如 [转卖]进行直接盈利或[编辑后售卖]进行间接盈利)。
2、本站所有内容均由合作方或网友上传,本站不对文档的完整性、权威性及其观点立场正确性做任何保证或承诺!文档内容仅供研究参考,付费前请自行鉴别。
3、如文档内容存在违规,或者侵犯商业秘密、侵犯著作权等,请点击“违规举报”。

碎片内容

湖南省师范大学附属中学高三数学总复习 含参数的不等式的解法教案

您可能关注的文档

确认删除?
VIP
微信客服
  • 扫码咨询
会员Q群
  • 会员专属群点击这里加入QQ群
客服邮箱
回到顶部