电脑桌面
添加小米粒文库到电脑桌面
安装后可以在桌面快捷访问

各高校量子力学考研试题汇总VIP免费

各高校量子力学考研试题汇总_第1页
1/35
各高校量子力学考研试题汇总_第2页
2/35
各高校量子力学考研试题汇总_第3页
3/35
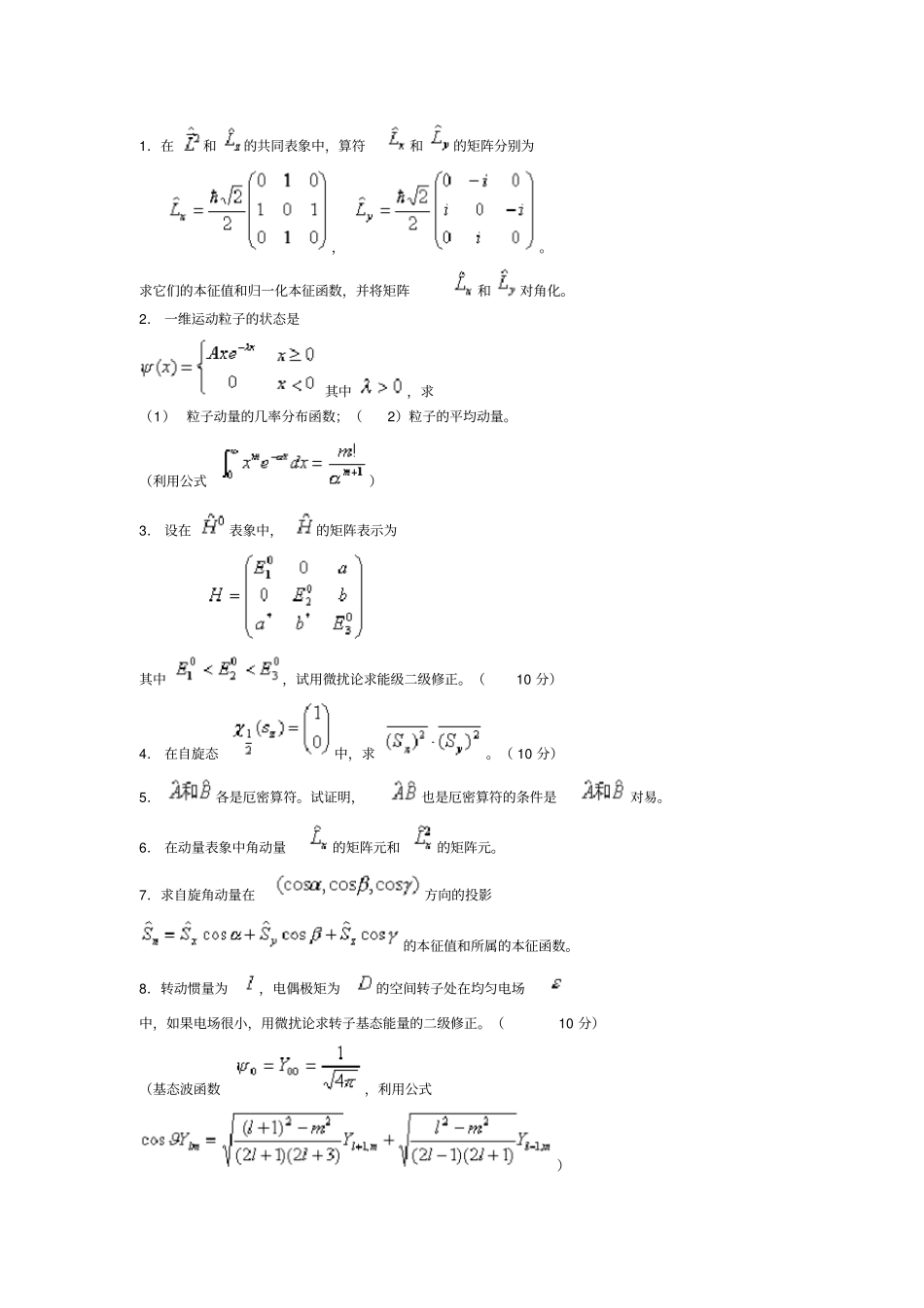
习题1一、填空题1.玻尔的量子化条件为。2.德布罗意关系为。3.用来解释光电效应的爱因斯坦公式为。4.波函数的统计解释:_______________________________________________________________________________________________5.为归一化波函数,粒子在方向、立体角内出现的几率为,在半径为,厚度为的球壳内粒子出现的几率为。6.波函数的标准条件为。7.,为单位矩阵,则算符的本征值为__________。8.自由粒子体系,__________守恒;中心力场中运动的粒子___________守恒。9.力学量算符应满足的两个性质是。10.厄密算符的本征函数具有。11.设为归一化的动量表象下的波函数,则的物理意义为_______________________________________________。12.______;_______;_________。28.如两力学量算符有共同本征函数完全系,则___。13.坐标和动量的测不准关系是____________________________。14.在定态条件下,守恒的力学量是_______________________。15.隧道效应是指__________________________________________。16.量子力学中,原子的轨道半径实际是指____________________。17.为氢原子的波函数,的取值范围分别为。18.对氢原子,不考虑电子的自旋,能级的简并度为,考虑自旋但不考虑自旋与轨道角动量的耦合时,能级的简并度为,如再考虑自旋与轨道角动量的耦合,能级的简并度为。19.设体系的状态波函数为,如在该状态下测量力学量有确定的值,则力学量算符与态矢量的关系为__________。20.力学量算符在态下的平均值可写为的条件为____________________________。21.量子力学中的态是希尔伯特空间的____________;算符是希尔伯特空间的____________。21.设粒子处于态,为归一化波函数,为球谐函数,则系数c的取值为,的可能值为,本征值为出现的几率为。22.原子跃迁的选择定则为。23.自旋角动量与自旋磁矩的关系为。24.为泡利算符,则,,。25.为自旋算符,则,,。26.乌伦贝克和哥德斯密脱关于自旋的两个基本假设是________________________,_______________________________。27.轨道磁矩与轨道角动量的关系是______________;自旋磁矩与自旋角动量的关系是______________。27.费米子所组成的全同粒子体系的波函数具有______________,玻色子所组成的全同粒子体系的波函数具有_________。27.考虑自旋后,波函数在自旋空间表示为(已归一化),则在态下,自旋算符对自旋的平均可表示为_______________;对坐标和自旋同时求平均的结果可表示为______________________。27.考虑自旋后,波函数在自旋空间表示为(已归一化),则的意义为_____________________;_________________。二、计算题1.在和的共同表象中,算符和的矩阵分别为,。求它们的本征值和归一化本征函数,并将矩阵和对角化。2.一维运动粒子的状态是其中,求(1)粒子动量的几率分布函数;(2)粒子的平均动量。(利用公式)3.设在表象中,的矩阵表示为其中,试用微扰论求能级二级修正。(10分)4.在自旋态中,求。(10分)5.各是厄密算符。试证明,也是厄密算符的条件是对易。6.在动量表象中角动量的矩阵元和的矩阵元。7.求自旋角动量在方向的投影的本征值和所属的本征函数。8.转动惯量为,电偶极矩为的空间转子处在均匀电场中,如果电场很小,用微扰论求转子基态能量的二级修正。(10分)(基态波函数,利用公式)9.证明下列关系式:1.,2.3.,4.(其中为角动量算符,,为泡利算符,为动量算符)10.设时,粒子的状态为,求此时粒子的平均动量和平均动能。11.为厄密算符,(为单位算符),。(1)求算符的本征值;(2)在A表象下求算符的矩阵表示。12.已知体系的哈密顿量,试求出(1)体系能量本征值及相应的归一化本征矢量。(2)将H对角化,并给出对角化的么正变换矩阵。13.一质量为m的粒子在一维无限深势阱中运动,,b为小量,用微扰法求粒子的能级(近似到一级)。14.证明下列算符的对易关系。1.;2.()3.设算符与它们的对易式对易,即:,证明:15.设有两个电子,自旋态分别,,证明两个电子处于自旋单态()及三重态()的几率分别为:(20分)。16.求自旋角动量在方向的...

1、当您付费下载文档后,您只拥有了使用权限,并不意味着购买了版权,文档只能用于自身使用,不得用于其他商业用途(如 [转卖]进行直接盈利或[编辑后售卖]进行间接盈利)。
2、本站所有内容均由合作方或网友上传,本站不对文档的完整性、权威性及其观点立场正确性做任何保证或承诺!文档内容仅供研究参考,付费前请自行鉴别。
3、如文档内容存在违规,或者侵犯商业秘密、侵犯著作权等,请点击“违规举报”。

碎片内容

各高校量子力学考研试题汇总

您可能关注的文档

确认删除?
VIP
微信客服
  • 扫码咨询
会员Q群
  • 会员专属群点击这里加入QQ群
客服邮箱
回到顶部