电脑桌面
添加小米粒文库到电脑桌面
安装后可以在桌面快捷访问

吉林建筑大学土力学课后答案精解VIP免费

吉林建筑大学土力学课后答案精解_第1页
1/16
吉林建筑大学土力学课后答案精解_第2页
2/16
吉林建筑大学土力学课后答案精解_第3页
3/16
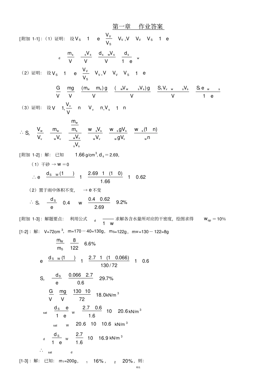
精选吉林建筑大学土力学复习资料第一章作业相关说明:(1)公式证明时不允许用推导公式!(2)作业必须抄题,有附图的应将图画上,同时,不允许徒手画图。(3)解题有必要的步骤,解题过程中公式一定要写全,推导公式无需证明,可以直接使用![附加1-1]证明下列换算公式:(1)wsded1;(2)eeSswr1;(3)nnwSwsr)1([附加1-2]某干砂试样=1.66g/cm3,sd=2.69,置于雨中,若砂样体积不变,饱和度增至40%时,此砂在雨中的含水量w为多少?[附加1-3]将土以不同含水量配制成试样,用标准的夯击能将土样击实,测得其密度,得数据如下表:w(%)17.215.212.210.08.87.4(g/cm3)2.062.102.162.132.031.89已知土粒比重sd=2.65,试求最优含水量opw。(要求:绘制w~d曲线时,必须采用方格纸)1-2某地基土层,用体积为72cm3的环刀取样,测得环刀加湿土重170g,环刀重40g,烘干后土重122g,土粒相对密度为2.70,问该土样的w、e、rs、、d、sat和各为多少?并比较各种重度的大小。1-3一土样重200g,已知含水率为16%,若要制备含水率为20%的土样,需加多少水?加水后土样重量为多少?1-4某土样孔隙体积等于土颗粒体积,试求孔隙比e;若土粒相对密度66.2sd,试求干密度d;若孔隙被水充满,试求密度与含水率w。1-5已知某土样土粒相对密度为2.72,孔隙比为0.95,饱和度为0.37。若孔隙比保持不变,将土样的饱和度提高到0.9,试求每1m3土应加多少水?1-6从甲、乙两地粘性土中各取出土样进行稠度试验。两土样液限、塑性都相同,%40Lw,%25Pw。但甲地土的天然含水量%45w,而乙地的%20w。问两地的液性指数LI各为多少?处于何种状态?按PI分类时,该土的名称是什么?试说明哪一地区的土较适宜于用作天然地基?1-7某砂土土样的密度为1.77g/cm3,含水率为9.8%,土粒相对密度为2.67,测得最小孔隙比为0.461,最大孔隙比为0.943,试求孔隙比e和相对密度rD,并确定该砂土的密实度。1-8用来修建土堤的土料,天然密度=1.92g/cm3,含水率%20w,土粒相对密度7.2sd。现要修建一压实干密度d=1.70g/cm3,体积为80000m3的土堤,求修建土堤所须开挖的土料的体积。精选第一章作业答案[附加1-1]:(1)证明:设eVVVVVVeVSVVSVS1,1wsswssssdedVVdVVVm1(2)证明:设eVVVVVVeVSVVSVS1,1VgVVVgmmVmgVGsswwsw)()(eeSVVVSswrsswvr1(3)证明:设nVnVnVVVsvv1,,1∴nnwgVgVwVVwVVmmVmVVSwsvwssvwssssvwswvwwvwr)1([附加1-2]:解:已知66.1g/cm3,sd=2.69,(1)干砂→w=0∴62.0166.1)01(169.21)1(WSde(2)置于雨中体积不变,→e不变∴%2.969.262.04.04.0wedSSr[附加1-3]:解题要点:利用公式wd1求解各含水量所对应的干密度,绘图求得opw=10%[1-2]:解:V=72cm3,m=170-40=130g,mS=122g,mW=130-122=8g%6.61228SWmm6.0172/130)066.01(17.21)1(WSde%7.296.07.2066.0edSSr0.187210130VmgVGkN/m36.20106.16.07.21WSsateedkN/m36.10106.20WsatkN/m39.16106.17.21WSdedkN/m3∴dsat[1-3]:解:已知:m1=200g,%161,%202,则:精选%20%161111211111wwwswwwwswmmmmmmmmmmmm将m1=200g带入得:1wm=27.6g,wm=6.9g∴加水后土样重量为:m2=m1+wm=200+6.9=206.9g[1-4]:解:由题意可知:Vv=Vs,则:(1)1svVVe;(2)3/33.111166.21cmgedwsd(3)如孔隙被水充满,则:%100edSs%6.3766.211sdeS由33.11d3/83.1%)6.371(33.1)1(cmgd[1-5]:解:已知:ds=2.72,e1=e2=0.95,37.01S,9.02S,V=1m3,由:edSs%92.1272.295.037.0111sdeS,%43.3172.295.09.0222sdeStkgedmVmwsssd39.11039.11095.0172.2133由:swmm,知:tmmsw257.0%)92.12%43.31(39.1)(12[1-6]:解:(1)甲地土:33.125402545pLpLI;乙地土:33.025402520pLpLI查课本20页表1-4得:甲地土处于流塑状态,乙地土处于坚硬状态。(2)由于甲乙地土样的液限和塑限相同,故:152540pLpI,查课本28页表1-12得:甲乙土的名称均为粉质粘土。(3)由于乙地土比甲地土的液性指数大,即:乙地土强度要比甲地大,故乙地土更适合做天然地基。[1-7]:解:已知77.1g/cm3,w=9.8%,sd=2.67,461.0mine,943.0maxe∴656.0177.1)098.01(167.21)1(WSde6.0461.0943.0656.0943.0minmaxmaxeeeeDr...

1、当您付费下载文档后,您只拥有了使用权限,并不意味着购买了版权,文档只能用于自身使用,不得用于其他商业用途(如 [转卖]进行直接盈利或[编辑后售卖]进行间接盈利)。
2、本站所有内容均由合作方或网友上传,本站不对文档的完整性、权威性及其观点立场正确性做任何保证或承诺!文档内容仅供研究参考,付费前请自行鉴别。
3、如文档内容存在违规,或者侵犯商业秘密、侵犯著作权等,请点击“违规举报”。

碎片内容

吉林建筑大学土力学课后答案精解

爱的疯狂+ 关注
实名认证
内容提供者

该用户很懒,什么也没介绍

确认删除?
VIP
微信客服
  • 扫码咨询
会员Q群
  • 会员专属群点击这里加入QQ群
客服邮箱
回到顶部