电脑桌面
添加小米粒文库到电脑桌面
安装后可以在桌面快捷访问

均值不等式测验题VIP免费

均值不等式测验题_第1页
1/11
均值不等式测验题_第2页
2/11
均值不等式测验题_第3页
3/11
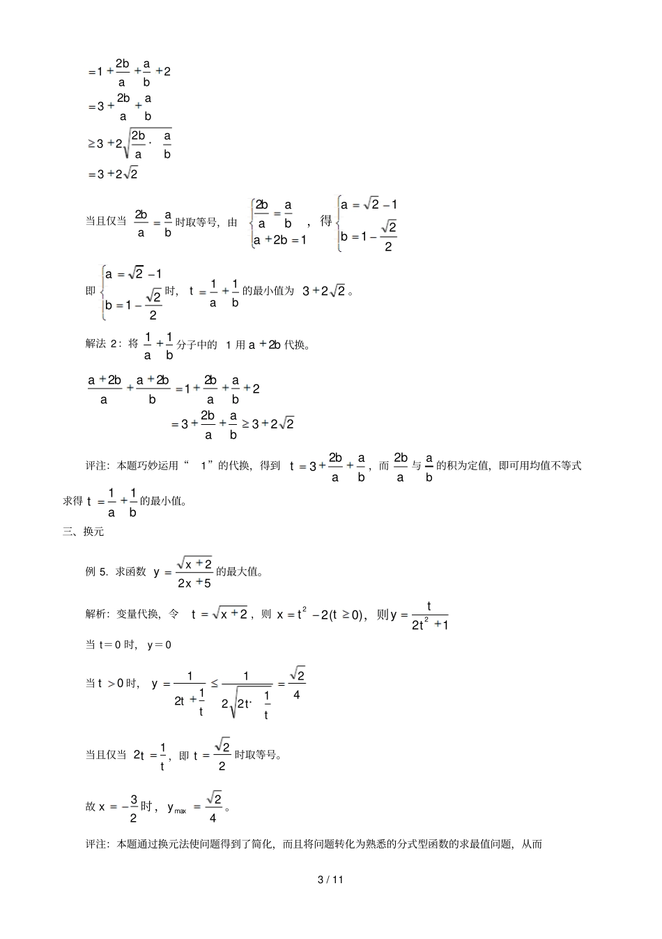
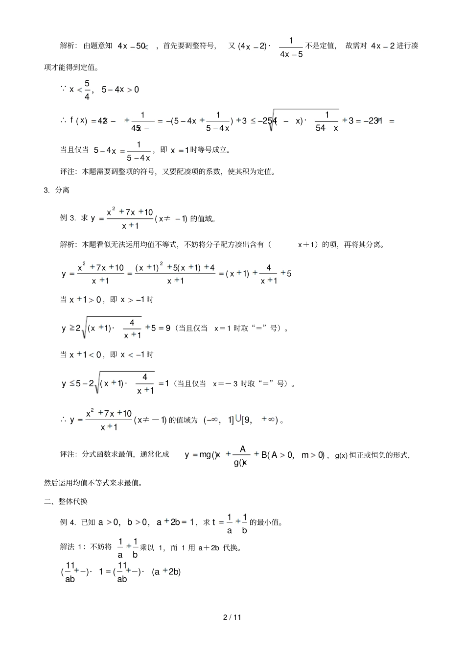
1/11利用均值不等式求最值的方法一.均值不等式1.(1)若Rba,,则abba222(2)若Rba,,则222baab(当且仅当ba时取“=”)2.(1)若*,Rba,则abba2(2)若*,Rba,则abba2(当且仅当ba时取“=”)(3)若*,Rba,则22baab(当且仅当ba时取“=”)3.若0x,则12xx(当且仅当1x时取“=”);若0x,则12xx(当且仅当1x时取“=”)若0x,则11122-2xxxxxx即或(当且仅当ba时取“=”)3.若0ab,则2abba(当且仅当ba时取“=”)若0ab,则22-2abababbababa即或(当且仅当ba时取“=”)4.若Rba,,则2)2(222baba(当且仅当ba时取“=”)注:(1)当两个正数的积为定植时,可以求它们的和的最小值,当两个正数的和为定植时,可以求它们的积的最小值,正所谓“积定和最小,和定积最大”.(2)求最值的条件“一正,二定,三取等”(3)均值定理在求最值、比较大小、求变量的取值范围、证明不等式、解决实际问题方面有广泛的应用.一、配凑1.凑系数例1.当04x时,求yxx()82的最大值。解析:由04x知,820x,利用均值不等式求最值,必须和为定值或积为定值,此题为两个式子积的形式,但其和不是定值。注意到2828xx()为定值,故只需将yxx()82凑上一个系数即可。yxxxxxx()[()]()821228212282282·当且仅当282xx,即x=2时取等号。所以当x=2时,yxx()82的最大值为8。评注:本题无法直接运用均值不等式求解,但凑系数后可得到和为定值,从而可利用均值不等式求最大值。2.凑项例2.已知x54,求函数fxxx()42145的最大值。2/11解析:由题意知450x,首先要调整符号,又()42145xx·不是定值,故需对42x进行凑项才能得到定值。 xx54540,∴fxxxxx()()421455415432541543231()xx·当且仅当54154xx,即x1时等号成立。评注:本题需要调整项的符号,又要配凑项的系数,使其积为定值。3.分离例3.求yxxxx271011()≠的值域。解析:本题看似无法运用均值不等式,不妨将分子配方凑出含有(x+1)的项,再将其分离。yxxxxxxxx227101151411415()()()当x10,即x1时yxx214159()·(当且仅当x=1时取“=”号)。当x10,即x1时yxx521411()·(当且仅当x=-3时取“=”号)。∴yxxxx271011()≠-的值域为(][),,19。评注:分式函数求最值,通常化成ymgxAgxBAm()()()00,,g(x)恒正或恒负的形式,然后运用均值不等式来求最值。二、整体代换例4.已知abab0021,,,求tab11的最小值。解法1:不妨将11ab乘以1,而1用a+2b代换。()()()111112ababab··3/1112232322322baabbaabbaab·当且仅当2baab时取等号,由22121122baababab,得即ab21122时,tab11的最小值为322。解法2:将11ab分子中的1用ab2代换。abaabbbaabbaab2212232322评注:本题巧妙运用“1”的代换,得到tbaab32,而2ba与ab的积为定值,即可用均值不等式求得tab11的最小值。三、换元例5.求函数yxx225的最大值。解析:变量代换,令tx2,则xttytt222021(),则当t=0时,y=0当t0时,ytttt121122124·当且仅当21tt,即t22时取等号。故xy3224时,max。评注:本题通过换元法使问题得到了简化,而且将问题转化为熟悉的分式型函数的求最值问题,从而4/11为构造积为定值创造有利条件。四、取平方例6.求函数yxxx21521252()的最大值。解析:注意到2152xx与的和为定值。yxxxxxx222152422152421528()()()()()又y0,所以022y当且仅当2152xx,即x32时取等号。故ymax22。评注:本题将解析式两边平方构造出“和为定值”,为利用均值不等式创造了条件。总之,我们利用均值不等式求最值时,一定要注意“一正二定三相等”,同时还要注意一些变形技巧,积极创造条件利用均值不等式。[练一练]1.若02x,求yxx()63的最大值。2.求函数yxxx133()的最小值。3.求函数yxxx2811()的最小值。4.已知xy00,,且119xy,求xy的最小值。参考答案:1.32.53.84.49新课标人教A版高中数学必修五典题精讲(3.4基本不等式)典题精讲例1(1)已知0<x<31,求函数y=x(1-3x)的最大值;(2)求函数y=x+x1的值域.思路分析:(1)由极值定理,可知需构造某个和为定值,可考虑把括号内外x的系数变成互为相反数;(2)中,未指出x>0,因而不能直接使用基本不等式,需分x>0与x<0讨论.(1)解法一: 0<x<31,∴1-3x>0.∴y=x(1-3x)=31·...

1、当您付费下载文档后,您只拥有了使用权限,并不意味着购买了版权,文档只能用于自身使用,不得用于其他商业用途(如 [转卖]进行直接盈利或[编辑后售卖]进行间接盈利)。
2、本站所有内容均由合作方或网友上传,本站不对文档的完整性、权威性及其观点立场正确性做任何保证或承诺!文档内容仅供研究参考,付费前请自行鉴别。
3、如文档内容存在违规,或者侵犯商业秘密、侵犯著作权等,请点击“违规举报”。

碎片内容

均值不等式测验题

爱的疯狂+ 关注
实名认证
内容提供者

该用户很懒,什么也没介绍

相关文档

确认删除?
VIP
微信客服
  • 扫码咨询
会员Q群
  • 会员专属群点击这里加入QQ群
客服邮箱
回到顶部