电脑桌面
添加小米粒文库到电脑桌面
安装后可以在桌面快捷访问

大学物理答案详解VIP免费

大学物理答案详解_第1页
1/8
大学物理答案详解_第2页
2/8
大学物理答案详解_第3页
3/8
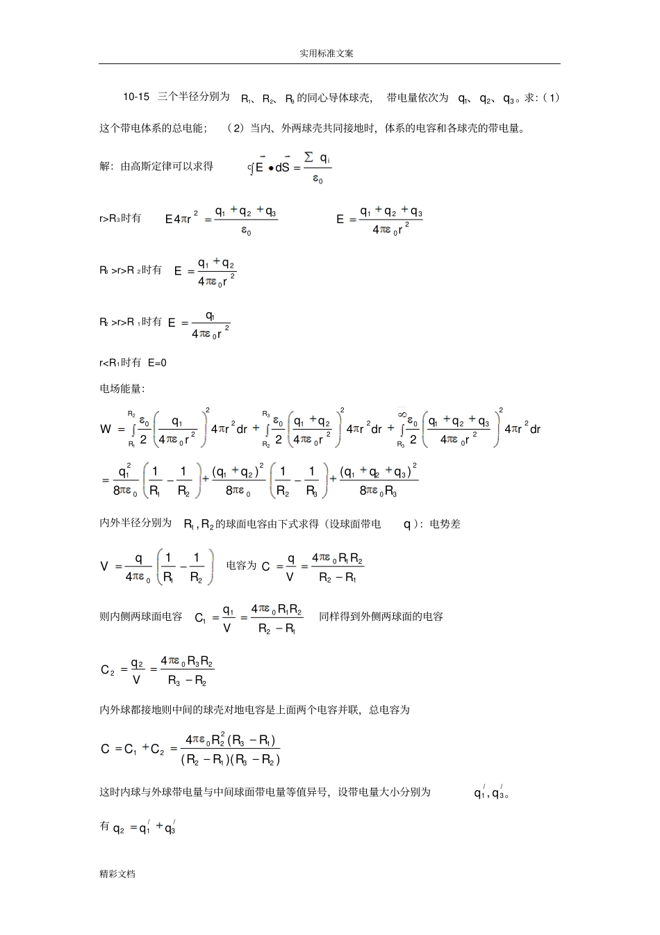
实用标准文案精彩文档10-15三个半径分别为321RRR、、的同心导体球壳,带电量依次为321qqq、、。求:(1)这个带电体系的总电能;(2)当内、外两球壳共同接地时,体系的电容和各球壳的带电量。解:由高斯定律可以求得0iqSdEr>R3时有032124qqqrE203214rqqqER3>r>R2时有20214rqqER2>r>R1时有2014rqEr

1、当您付费下载文档后,您只拥有了使用权限,并不意味着购买了版权,文档只能用于自身使用,不得用于其他商业用途(如 [转卖]进行直接盈利或[编辑后售卖]进行间接盈利)。
2、本站所有内容均由合作方或网友上传,本站不对文档的完整性、权威性及其观点立场正确性做任何保证或承诺!文档内容仅供研究参考,付费前请自行鉴别。
3、如文档内容存在违规,或者侵犯商业秘密、侵犯著作权等,请点击“违规举报”。

碎片内容

大学物理答案详解

确认删除?
微信客服
  • 扫码咨询
会员Q群
  • 会员专属群点击这里加入QQ群