电脑桌面
添加小米粒文库到电脑桌面
安装后可以在桌面快捷访问

常用的统计量抽样分布总结VIP专享VIP免费

常用的统计量抽样分布总结_第1页
1/5
常用的统计量抽样分布总结_第2页
2/5
常用的统计量抽样分布总结_第3页
3/5
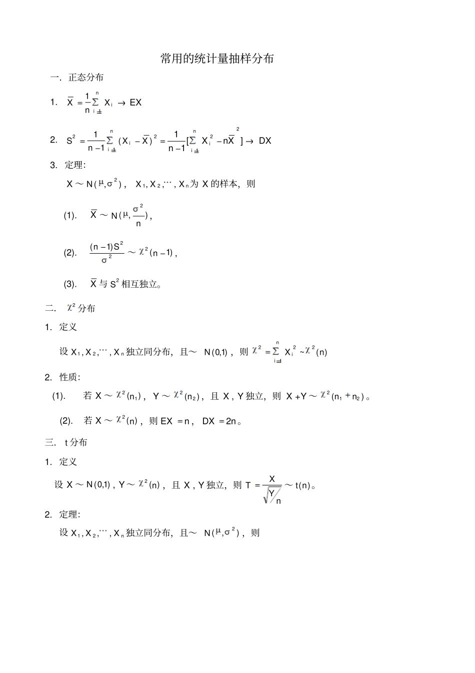
常用的统计量抽样分布一.正态分布1.niiXnX11EX2.212)(11niiXXnS][11212niiXnXnDX3.定理:X~),(2N,nXXX,,,21为X的样本,则(1).X~),(2nN,(2).22)1(Sn~)1(2n,(3).X与2S相互独立。二.2分布1.定义设nXXX,,,21独立同分布,且~)1,0(N,则)(~2122nXnii2.性质:(1).若X~)(12n,Y~)(22n,且X,Y独立,则X+Y~)(212nn。(2).若X~)(2n,则nEX,2DXn。三.t分布1.定义设X~)1,0(N,Y~)(2n,且X,Y独立,则nYXT~)(nt。2.定理:设nXXX,,,21独立同分布,且~),(2N,则nSXSnX)(1)1()(22nSnnX~)1(nt(因为nX~)1,0(N,22)1(Sn~)1(2n)。3.定理:设1,,,21nXXX为总体X~),(21N的样本,1,,,21nYYY为总体Y~),(22N的样本,且YX,独立,则212111)()(nnSYXw~)2(21nnt,其中2)1()1(212222112nnSnSnSw。证:因为2211)1(Sn~)1(12n,2222)1(Sn~)1(22n,所以2222211)1()1(SnSn~)2(212nn;又X~),(121nN,Y~),(222nN,所以XY~),(221221nnN,所以212111)()(nnYX~)1,0(N,所以212111)()(nnSYXw212111)()(nnYX/)2/()1()1(212222211nnSnSn~)2(21nnt。四.F分布1.定义设U~)(12n,V~)(22n,且VU,独立,则21nVnUF~),(21nnF。2.定理:设F~),(21nnF,则F1~),(12nnF3.定理:设1,,,21nXXX为总体X~),(211N的样本,1,,,21nYYY为总体Y~),(222N的样本,且YX,独立,则)1,1(~//2122222121nnFSSF。常用的统计量抽样分布示例例1设2521XXX,,是来自总体1~2X的一个样本,则251iiX服从252分布;例2设随机变量21,XX,3X相互独立,1X~)1,0(N,2X~)21,0(N,3X~)31,0(N,则23222132XXX服从)3(2分布。例3设总体X服从)2,0(2N,而1521,,,XXX为来自总体X的简单随机样本,则随机变量)(22152112102221xXXXXY服从)5,10(F分布。例4设随机变量YX,相互独立且都服从)3,0(2N,而921,,,XXX和921,,,YYY为分别来自总体X和Y的简单随机样本,则统计量2921921YYXXXU服从)9(t分布。例5设nXXX,,,21)2(n为来自总体)1,0(N的简单随机样本,X是样本均值,2S是样本方差,则D.(A).Xn~)1,0(N(B)2nS~)(2n(C).SXn)1(~)1(nt(D)niiXXn2221)1(~)1,1(nF解:niiXXn2221)1(niinXX22211/1/~)1,1(nF例6设总体X服从),(21N,总体Y服从),(22N,1,,,21nXXX为来自总体X的简单随机样本,2,,,21nYYY为来自总体Y的简单随机样本,则解:原式2121)([211niiXXEnn])(212niiYY又221)(1niiXX221)1(Sn~)1(12n,故22122()[]1niiXXEn,从而12111()11niiXXEnn,同理22122()11niiYYEnn,所以原式=2。例7.设nXXX,,,21)2(n为来自总体),0(2N的简单随机样本,X是样本均值,记XXYii,ni,,2,1。求:(1).iY的方差iDY,ni,,2,1;(2).),(1nYYCov;(3)}0{1nYYP。(4)若21)(nYYc是2的无偏估计,求c的值。解:(1)iDY)(XXDi(iXn)11(与nikkkXn,11独立)]1)11[(,1nikkkiXnXnD222221)1(1)11(nnnnn,ni,,2,1。(2)0)(11XXEEYEYn,1X,nX独立,)(1nXXE01nEXEX而)(XD][21nXXXDn21n)(1nDXDX21n)}()()({1)(121211nXXEXXEXEnXXE2211)(1nXEn,所以),(1nYYCov)(XD21n21n=21n(3)nYY1)()(1XXXXn121222niinXnXnnXnn上式是相互独立的正态随机变量的线性组合,所以nYY1服从正态分布,由于,0)(1nYYE所以5.0}0{1nYYP。(4)])([21nYYcE)(1nYYcD)],(2[11nnYYCovDYDYc2]211[nnnnnc2)2(2cnn2,故)2(2nnc。

1、当您付费下载文档后,您只拥有了使用权限,并不意味着购买了版权,文档只能用于自身使用,不得用于其他商业用途(如 [转卖]进行直接盈利或[编辑后售卖]进行间接盈利)。
2、本站所有内容均由合作方或网友上传,本站不对文档的完整性、权威性及其观点立场正确性做任何保证或承诺!文档内容仅供研究参考,付费前请自行鉴别。
3、如文档内容存在违规,或者侵犯商业秘密、侵犯著作权等,请点击“违规举报”。

碎片内容

常用的统计量抽样分布总结

确认删除?
VIP
微信客服
  • 扫码咨询
会员Q群
  • 会员专属群点击这里加入QQ群
客服邮箱
回到顶部