电脑桌面
添加小米粒文库到电脑桌面
安装后可以在桌面快捷访问

数学三考研试题和参考答案VIP免费

数学三考研试题和参考答案_第1页
1/10
数学三考研试题和参考答案_第2页
2/10
数学三考研试题和参考答案_第3页
3/10
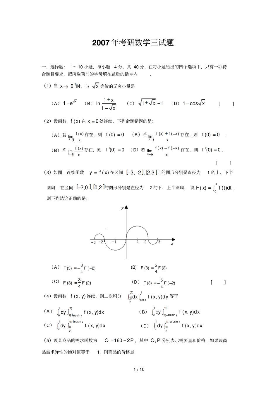
1/102007年考研数学三试题一、选择题:1~10小题,每小题4分,共40分.在每小题给出的四个选项中,只有一项符合题目要求,把所选项前的字母填在题后的括号内.(1)当0x时,与x等价的无穷小量是(A)1ex(B)1ln1xx(C)11x(D)1cosx[](2)设函数()fx在0x处连续,下列命题错误的是:(A)若0()limxfxx存在,则(0)0f(B)若0()()limxfxfxx存在,则(0)0f.(B)若0()limxfxx存在,则(0)0f(D)若0()()limxfxfxx存在,则(0)0f.[](3)如图,连续函数()yfx在区间3,2,2,3上的图形分别是直径为1的上、下半圆周,在区间2,0,0,2的图形分别是直径为2的下、上半圆周,设0()()dxFxftt,则下列结论正确的是:(A)3(3)(2)4FF(B)5(3)(2)4FF(C)3(3)(2)4FF(D)5(3)(2)4FF[](4)设函数(,)fxy连续,则二次积分1sin2d(,)dxxfxyy等于(A)10arcsind(,)dyyfxyx(B)10arcsind(,)dyyfxyx(C)1arcsin02d(,)dyyfxyx(D)1arcsin02d(,)dyyfxyx(5)设某商品的需求函数为1602QP,其中,QP分别表示需要量和价格,如果该商品需求弹性的绝对值等于1,则商品的价格是2/10(A)10.(B)20(C)30.(D)40.[](6)曲线1ln1exyx的渐近线的条数为(A)0.(B)1.(C)2.(D)3.[](7)设向量组123,,线性无关,则下列向量组线性相关的是线性相关,则(A)122331,,(B)122331,,(C)1223312,2,2.(D)1223312,2,2.[](8)设矩阵211100121,010112000AB,则A与B(A)合同且相似(B)合同,但不相似.(C)不合同,但相似.(D)既不合同也不相似[](9)某人向同一目标独立重复射击,每次射击命中目标的概率为(01)pp,则此人第4次射击恰好第2次击中目标的概率为[](A)23(1)pp.(B)26(1)pp.(C)223(1)pp(D)226(1)pp(10)设随机变量,XY服从二维正态分布,且X与Y不相关,(),()XYfxfy分别表示,XY的概率密度,则在Yy的条件下,X的条件概率密度|(|)XYfxy为[](A)()Xfx(B)()Yfy(C)()()XYfxfy(D)()()XYfxfy.二、填空题:11~16小题,每小题4分,共24分.把答案填在题中横线上.(11)3231lim(sincos)2xxxxxxx__________.(12)设函数123yx,则()(0)ny________.(13)设(,)fuv是二元可微函数,,yxzfxy,则zzxyxy__________.(14)微分方程3d1d2yyyxxx满足11xy的特解为y________.(15)设矩阵0100001000010000A,则3A的秩为.3/10(16)在区间0,1中随机地取两个数,则这两个数之差的绝对值小于12的概率为.三、解答题:17~24小题,共86分.解答应写出文字说明、证明过程或演算步骤.(17)(本题满分10分)设函数()yyx由方程ln0yyxy确定,试判断曲线()yyx在点(1,1)附近的凹凸性.(18)(本题满分11分)设二元函数222,||||11(,),1||||2xxyfxyxyxy,计算二重积分D(,)dfxy,其中,||||2Dxyxy.(19)(本题满分11分)设函数(),()fxgx在,ab上连续,在(,)ab内具有二阶导数且存在相等的最大值,()(),()()fagafbgb,证明:存在(,)ab,使得()()fg.(20)(本题满分10分)将函数21()34fxxx展开成1x的幂级数,并指出其收敛区间.(21)(本题满分11分)设线性方程组123123212302040xxxxxaxxxax与方程12321xxxa有公共解,求a的值及所有公共解.(22)(本题满分11分)设三阶对称矩阵A的特征向量值1231,2,2,T1(1,1,1)是A的属于1的一个特征向量,记534BAAE,其中E为3阶单位矩阵.(I)验证1是矩阵B的特征向量,并求B的全部特征值与特征向量;(II)求矩阵B.(23)(本题满分11分)设二维随机变量(,)XY的概率密度为2,01,01(,)0,xyxyfxy其他.(I)求2PXY;(II)求ZXY的概率密度.(24)(本题满分11分)4/10设总体X的概率密度为1,0,21(;),1,2(1)0,xfxx其他.其中参数(01)未知,12,,...nXXX是来自总体X的简单随机样本,X是样本均值.(Ⅰ)求参数的矩估计量;(Ⅱ)判断24X是否为2的无偏估计量,并说明理由.2007年数学三试题解析1⋯.【分析】本题为等价无穷小的判定,利用定义或等价无穷小代换即可.【详解】当0x时,1exx,1112xx,2111cos22xxx,故用排除法可得正确选项为(B).事实上,0001111lnln(1)ln(1)1112limlimlim112xxxxxxxxxxxxx,或1lnln(1)ln(1)()()()1xxxxoxxoxxoxxx.所以应选(B)2⋯⋯.【分析】本题考查可导的极限定义及连续与可导的关系.由于题设条件含有抽象函数,本题最简便的方...

1、当您付费下载文档后,您只拥有了使用权限,并不意味着购买了版权,文档只能用于自身使用,不得用于其他商业用途(如 [转卖]进行直接盈利或[编辑后售卖]进行间接盈利)。
2、本站所有内容均由合作方或网友上传,本站不对文档的完整性、权威性及其观点立场正确性做任何保证或承诺!文档内容仅供研究参考,付费前请自行鉴别。
3、如文档内容存在违规,或者侵犯商业秘密、侵犯著作权等,请点击“违规举报”。

碎片内容

数学三考研试题和参考答案

爱的疯狂+ 关注
实名认证
内容提供者

该用户很懒,什么也没介绍

确认删除?
VIP
微信客服
  • 扫码咨询
会员Q群
  • 会员专属群点击这里加入QQ群
客服邮箱
回到顶部