电脑桌面
添加小米粒文库到电脑桌面
安装后可以在桌面快捷访问

江苏省高考数学模拟专家卷(1)-人教版高三全册数学试题VIP专享VIP免费

江苏省高考数学模拟专家卷(1)-人教版高三全册数学试题_第1页
1/12
江苏省高考数学模拟专家卷(1)-人教版高三全册数学试题_第2页
2/12
江苏省高考数学模拟专家卷(1)-人教版高三全册数学试题_第3页
3/12
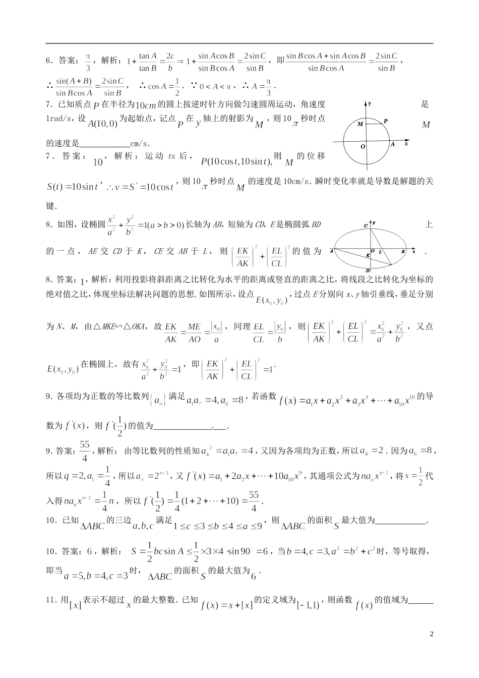
2013年江苏高考数学模拟试题(一)数学Ⅰ必做题部分一、填空题:本大题共14小题,每小题5分,共计70分.请把答案填写在答题卡相应位置上.1.已知集合,集合,且,则实数的值为.1.答案:,解析:根据子集的定义知的值为.2.已知复数为纯虚数,则实数的值为.2.答案:,解析:,是纯虚数,,且,.3.一个算法的流程图如下图所示,则输出s的结果为.3.答案:,解析:第一次循环后,,第二次循环后,,第三次循环后,,,所以输出.4.如图表示甲、乙两名篮球运动员每场得分情况的茎叶图,则甲、乙得分的中位数分别是,则.4.答案:,解析:由茎叶图知甲的中位数为,乙的中位数为,..5.一口袋中放有质地、大小完全相同的6个球,编号分别为1,2,3,4,5,6,甲先摸出一个球,记下编号,放回后乙再摸一个球,甲、乙两人所摸球的编号不同的概率是.5.答案:,解析:设“编号不相同”为事件,则“编号相同”为其对立事件,事件包含的基本事件为(1,1),(2,2),(3,3),(4,4),(5,5),(6,6),,所以,编号不同的概率为.6.在△ABC中,角A,B,C所对边分别为a,b,c,且,则角A的大小为.1注意事项考生在答题前请认真阅读本注意事项及各题答题要求1.本试卷共4页,包含填空题(第1题—第14题)、解答题(第15题—第20题).本卷满分160分,考试时间为120分钟.考试结束后,请将本卷和答题卡一并交回.2.答题前,请您务必将自己的姓名、准考证号用0.5毫米黑色墨水的签字笔填写在试卷及答题卡的规定位置.3.请在答题卡上按照顺序在对应的答题区域内作答,在其他位置作答一律无效.作答必须用0.5毫米黑色墨水的签字笔.请注意字体工整,笔迹清楚.4.如需作图,须用2B铅笔绘、写清楚,线条、符号等须加黑、加粗.5.请保持答题卡卡面清洁,不要折叠、破损.I←1WhileI<6Y←2I+1I←I+2EndWhilePrintY6.答案:,解析:,即,∴,∴. ,∴.7.已知质点在半径为的圆上按逆时针方向做匀速圆周运动,角速度是1rad/s,设为起始点,记点在轴上的射影为,则10秒时点的速度是cm/s.7.答案:,解析:运动ts后,则的位移,,则10秒时点的速度是10cm/s.瞬时变化率就是导数是解题的关键.8.如图,设椭圆长轴为AB,短轴为CD,E是椭圆弧BD上的一点,AE交CD于K,CE交AB于L,则的值为.8.答案:,解析:利用投影将斜距离之比转化为水平的距离或竖直的距离之比,将线段之比转化为坐标的绝对值之比,体现坐标法解决问题的思想.如图所示,设点,过点E分别向x、y轴引垂线,垂足分别为N、M,由△MKE∽△OKA,故,同理,则,又点在椭圆上,故有,即.9.各项均为正数的等比数列满足,若函数的导数为,则的值为.9.答案:,解析:由等比数列的性质知,又因为各项均为正数,所以.因为,所以,所以,又,其通项公式为,将代入得,所以.10.已知的三边满足,则的面积最大值为.10.答案:,解析:,当时,等号取得,即当时,的面积的最大值为.11.用表示不超过的最大整数.已知的定义域为,则函数的值域为2xyAMOP.11.答案:,解析:根据的定义分类讨论.当时,,;当时,,;所以函数的值域为.12.已知点、分别为的重心(三条中线的交点)、垂心(三条高所在直线的交点),若,则的值为.12.答案:,解析:.另解:注意到题中的形状不确定,因此可取特殊情形,则点即为点,由此可迅速得到答案.13.设是正实数,且,则的最小值是.13.答案:,解析:设,,则.所以=..因为,等号当且仅当取得,,即当且仅当时,的取得最小值.14.在棱长为1的正方体中,若点是棱上一点,则满足的点的个数为.14.解析:方法1:利用椭圆的定义.一方面点在以为焦点,长轴长为的椭圆上;另一方面,可能在,,,,,上,或者在上.因为,故点在以为焦点,长轴长为的椭圆外,所以椭圆必与线段相交,同理在,,,,上各有一点满足条件.又若点在上,则.故上不存在满足条件的点,同理上不存在满足条件的点.故满足题设条件的点的个数为.方法2:若在上,设,有解得.故上有一点(的中点)满足条件.3DACBB1C1D1A1同理在,,,,上各有一点满足条件.又若点在上,则.故上不存在满足条件的点,同...

1、当您付费下载文档后,您只拥有了使用权限,并不意味着购买了版权,文档只能用于自身使用,不得用于其他商业用途(如 [转卖]进行直接盈利或[编辑后售卖]进行间接盈利)。
2、本站所有内容均由合作方或网友上传,本站不对文档的完整性、权威性及其观点立场正确性做任何保证或承诺!文档内容仅供研究参考,付费前请自行鉴别。
3、如文档内容存在违规,或者侵犯商业秘密、侵犯著作权等,请点击“违规举报”。

碎片内容

江苏省高考数学模拟专家卷(1)-人教版高三全册数学试题

确认删除?
VIP
微信客服
  • 扫码咨询
会员Q群
  • 会员专属群点击这里加入QQ群
客服邮箱
回到顶部