电脑桌面
添加小米粒文库到电脑桌面
安装后可以在桌面快捷访问

青海省西宁市高三数学12月月考试题 文-人教版高三全册数学试题VIP免费

青海省西宁市高三数学12月月考试题 文-人教版高三全册数学试题_第1页
1/13
青海省西宁市高三数学12月月考试题 文-人教版高三全册数学试题_第2页
2/13
青海省西宁市高三数学12月月考试题 文-人教版高三全册数学试题_第3页
3/13
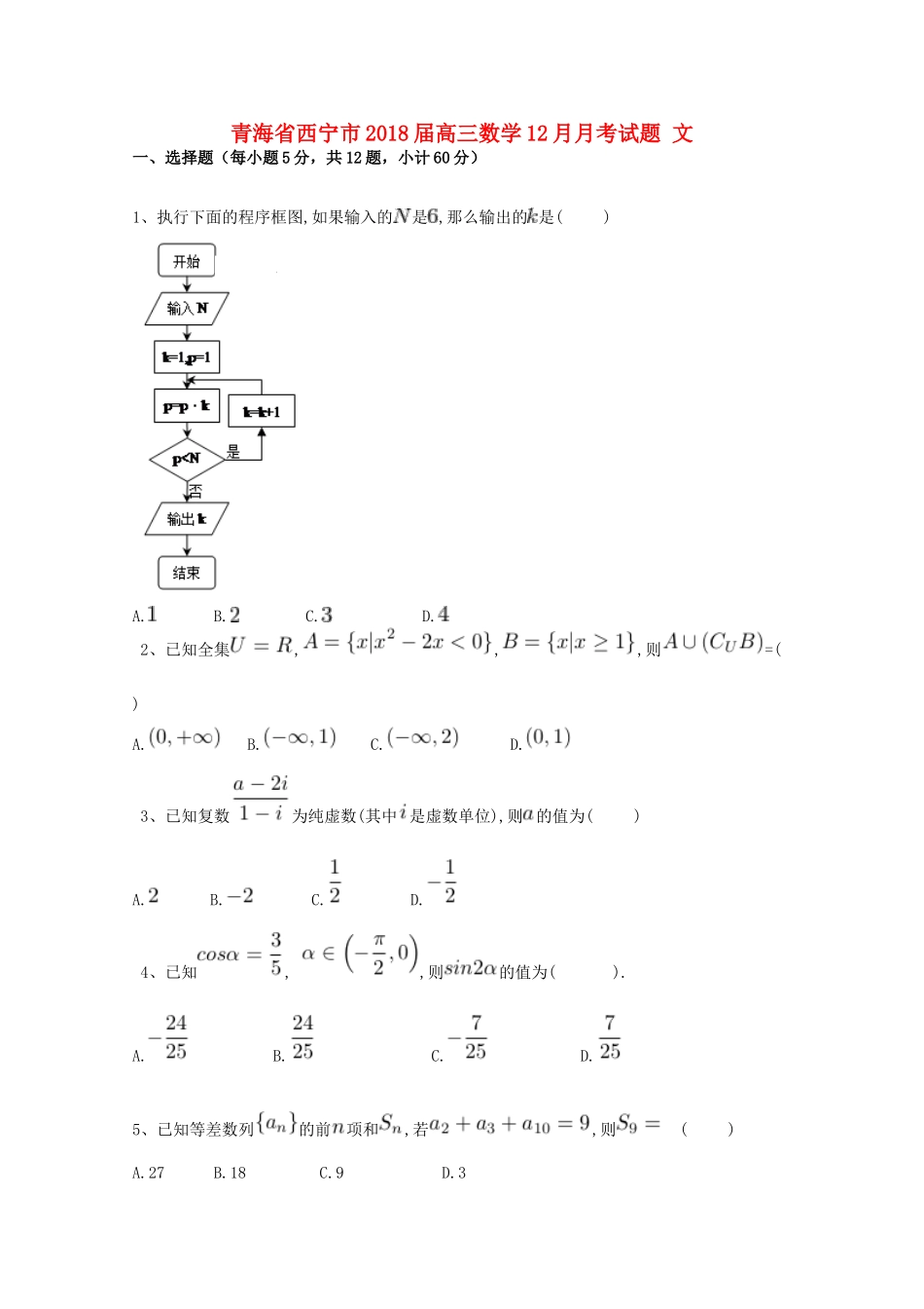
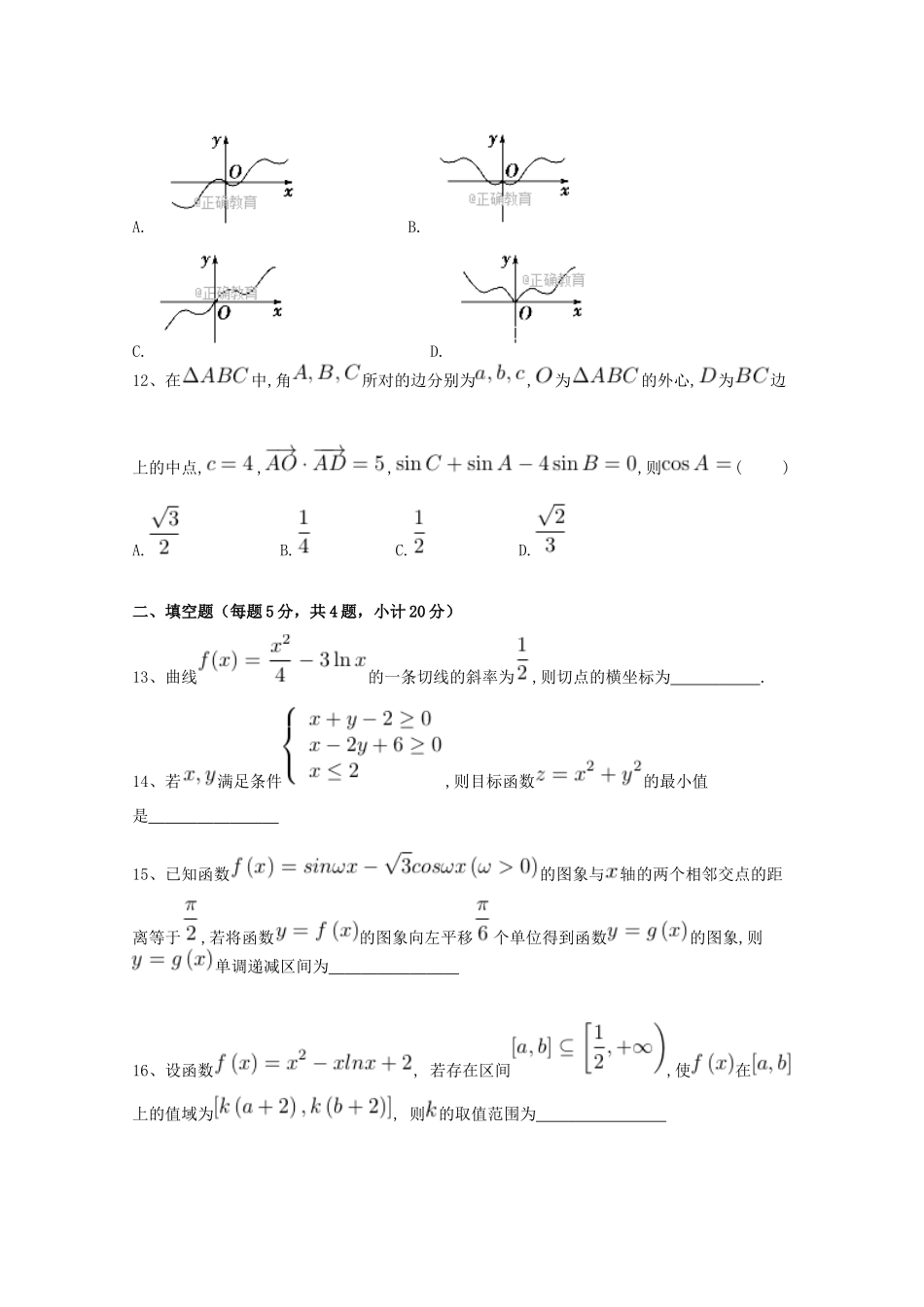
青海省西宁市2018届高三数学12月月考试题文一、选择题(每小题5分,共12题,小计60分)1、执行下面的程序框图,如果输入的是,那么输出的是()A.B.C.D.2、已知全集,,,则=()A.B.C.D.3、已知复数为纯虚数(其中是虚数单位),则的值为()A.B.C.D.4、已知,,则的值为().A.B.C.D.5、已知等差数列的前项和,若,则()A.27B.18C.9D.36、已知直线、与平面下列命题正确的是()A.,且,则B.,且,则C.,且,则D.,且,则7、已知函数,则()A.B.C.D.8、某四面体的三视图如图所示,正视图、侧视图、俯视图都是边长为1的正方形,则此四面体的外接球的体积为()A.B.C.D.9、在等比数列中,“,是方程的两根”是“”的()A.充分不必要条件B.必要不充分条件C.充要条件D.既不充分也不必要条件10、已知,若时,,则的取值范围是()A.B.C.D.11、函数,是的导函数,则的图象大致是()A.B.C.D.12、在中,角所对的边分别为,为的外心,为边上的中点,,,,则()A.B.C.D.二、填空题(每题5分,共4题,小计20分)13、曲线的一条切线的斜率为,则切点的横坐标为.14、若满足条件,则目标函数的最小值是15、已知函数的图象与轴的两个相邻交点的距离等于,若将函数的图象向左平移个单位得到函数的图象,则单调递减区间为16、设函数,若存在区间,使在上的值域为,则的取值范围为三、解答题17、(12分)已知数列的前项和为满足,且成等差数列。(1).求数列的通项公式;(2).令,求数列的前项和。18、(12分)已知是锐角三角形,向量,且.(1).求的值(2).若,求的长.19、(12分)已知函数,且当时,的最小值为.(1).求的值,并求的单调递增区间;(2).先将函数的图象上的点纵坐标不变,横坐标缩小到原来的,再将所得图象向右平移个单位,得到函数的图象,求方程在区间上所有根之和.20.(12分)在刚刚结束的联考中,某校对甲、乙两个文科班的数学成绩进行分析,规定:大于或等于优秀非优秀合计120分为优秀,120分以下为非优秀,成绩统计后,得到如下的列联表,且已知在甲、乙两个文科班全部110人中随机抽取1人为优秀的概率为.甲班18乙班43合计110(1).请完成上面的列联表;(2).请问:是否有的把握认为“数学成绩与所在的班级有关系”?(3).用分层抽样的方法从甲、乙两个文科班的数学成绩优秀的学生中抽取5名学生进行调研,然后再从这5名学生中随机抽取2名学生进行谈话,求抽到的2名学生中至少有1名乙班学生的概率.参考公式:(其中)参考数据:21、(12分)已知函数其中(1).讨论函数的单调性;(2).若函数有两个极值点且求证:22、(10分)选修:坐标系与参数方程在直角坐标系中,以为极点,轴正半轴为极轴建立极坐标系,曲线的极坐标方程为,曲线的参数方程为,(为参数,).(1).求的直角坐标方程;(2).当与有两个公共点时,求实数取值范围.高三文科数学十二月检测试卷答案1.答案:C2.答案:C3.答案:B4.答案:A5.答案:A6.答案:D7.答案:D8.答案:C9.答案:A10.答案:C11.答案:A12.答案:B13.答案:14.答案:15.答案:16.答案:17.答案:1.由得,由..................2分做差得,.................3分又成等差数列,所以即,解得,.............5分所以数列是以为首项公比为3的等比数列,即.............6分2.由,.............7分得.............8分于是.............12分18.答案:1.因为,所以又,所以所以,即;2.因为,,所以所以由正弦定理,得19.答案:1., ,∴,∴的最小值为,解得.∴.由,可得,∴的单调递增区间为.2.由函数图象变换可得,由可得,∴或,解得或,,∴或.∴所有根之和为.20.答案:1.班级优秀非优秀合计甲班183755乙班124355合计30801102.由题意得所以的把握认为“数学成绩与所在的班级有关系”3.因为甲,乙两个班数学成绩优秀的学生人数的比例为,所以从甲班成绩优秀的学生中抽取名,分别记为,从乙班成绩优秀的学生中抽取名,分别记为,则从抽取的名学生中随机抽取名学生的基本事件有共10个设“抽到2名学生中至少有1名乙班学生”为事件,则事件包含的基本事件有共个,所以,即抽到2名学生中至少有1名乙班学生的概率是21.答案:1. 当即时,的单调递增区间是当时,即时,令得的单调递增区间是和,单调递减区间是2. 在单调递增,且,不等式右侧证毕∴有两个极值点,∴令在单调递增不等式左侧证毕综上可知:...

1、当您付费下载文档后,您只拥有了使用权限,并不意味着购买了版权,文档只能用于自身使用,不得用于其他商业用途(如 [转卖]进行直接盈利或[编辑后售卖]进行间接盈利)。
2、本站所有内容均由合作方或网友上传,本站不对文档的完整性、权威性及其观点立场正确性做任何保证或承诺!文档内容仅供研究参考,付费前请自行鉴别。
3、如文档内容存在违规,或者侵犯商业秘密、侵犯著作权等,请点击“违规举报”。

碎片内容

青海省西宁市高三数学12月月考试题 文-人教版高三全册数学试题

您可能关注的文档

远洋启航书店+ 关注
实名认证
内容提供者

从事历史教学,热爱教育,高度负责。

相关文档

确认删除?
VIP
微信客服
  • 扫码咨询
会员Q群
  • 会员专属群点击这里加入QQ群
客服邮箱
回到顶部